111年 - 111 亞洲大學_學士後獸醫學系招生考試試題:化學(含普通化學、有機化學)#113453
試卷資訊
選擇題 (80)
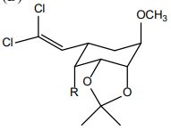
53.下列反應為
(A)Baeyer-Villiger reaction (B)Beckmann rearrangement (C)Birch reduction (D)Michael reaction
55.下列反應為
(A)Baeyer-Villiger reaction (B)Beckmann rearrangement (C)Birch reduction (D)Michael reaction
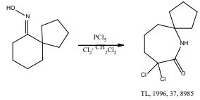
56.下列反應為
(A)Baeyer-Villiger reaction (B)Beckmann rearrangement (C)Birch reduction (D)Michael reaction
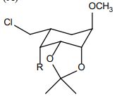
(A)Bamberger rearrangement (B)Cargill rearrangement (C)Aldol condensation (D)Bergman cyclization
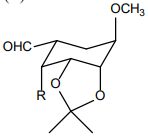
(A)Bamberger rearrangement (B)Claisen rearrangement (C)Cope rearrangement (D)Ciamician-Dennstedt rearrangement
(A)Appel reaction (B)Glaser oxidative coupling reaction(C)Leuckart reaction (D)Rubottom oxidation
(A)Wittig reaction (B)Stobbe condensation (C)Pudovik reaction (D)Pschorr reaction
(A)Wittig reaction (B)Stobbe condensation (C)Pudovik reaction (D)Pschorr reaction
(A)Reformasky reaction (B)Hofmann reaction (C)von Braun reaction (D)Aldol reaction
(A)Arbuzov reaction (B)Grignard reaction (C)Suzuki reaction (D)Friedel-Crafts acylation
(A)Bamberger rearrangement (B)Claisen rearrangement (C)Cope rearrangement (D)Pinacol rearrangement
(A)Suzuki coupling (B)Stille coupling (C)Sonogashira coupling (D)Ullmann coupling
(A)Suzuki coupling (B)Stille coupling (C)Sonogashira coupling (D)Ullmann coupling
(A)Suzuki coupling (B)Stille coupling (C)Sonogashira coupling (D)Ullmann coupling
(A)Suzuki coupling (B)Stille coupling (C)Sonogashira coupling (D)Ullmann coupling
(A)Baeyer-Villiger reaction (B)Beckmann rearrangement (C)Birch reduction (D)Michael reaction
(A)
(B)
(C)
(D) 
(A)Clemmensen reduction (B)Friedel Crafts reaction (C) Friedel Crafts acylation (D)Sonogashira coupling
(A)R (B)S (C)E (D)Z
(A)R (B)S (C)E (D)Z H2N CO2H H CH3
(A)R (B)S (C)E (D)Z
(A)R (B)S (C)E (D)Z
(A)NaBH4 then OH- (B)H2O/H+ (C)BH3 then HOO- (D)HOAc
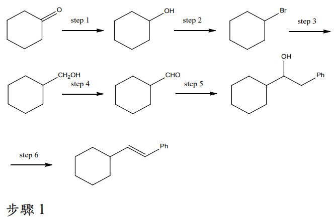
步驟 1:(A)CH3I (B)(CH3)2SO4 (C)CH3MgBr then H+ (D)acetone/H+