所屬科目:技檢◆測量-丙級
1. 視距測量之視距乘常數一般為(A)100(B)0(C)200(D)50。
2. 三角高程測量(間接高程測量)於已知點設站觀測未知點,以求得未知點之高程者,稱為(A)反覘(B)後覘(C)前覘(D)直覘。
3. 將線型特徵物減少坐標量,但保留特徵點及形狀之縮編程序稱為(A)併消(B)簡單化(C)篩選(D)平滑化。
4. 使用 30 公尺長之普通卷尺量得距離為 119.92 公尺,但該卷尺與標準尺比較時,卷尺上 29.98 公尺分劃處相當於標準尺 30.00 公尺,則此段正確距離為?(A)120.00 公尺(B)119.84 公尺(C)120.08 公尺(D)119.76 公尺。
5. 水準儀之視準軸誤差對水準尺讀數誤差之影響,與下列何者成正比?(A)水準儀之視準軸高程(B)水準尺讀數大小(C)水準尺之高程(D)水準儀至水準尺之視距長。
6. 若水平角觀測得角度值為零度八分五秒,則手簿應記成為(A)00°08 '05"(B)0°08 '05"(C)0°8 '5 "(D)0°08 '5"。
7. 以經緯儀測定已知直線之延長線至 C 點,下列敘述何者正確?(A)正倒鏡所測定之 C 點必須重合,否則須重測(B)正倒鏡所測定之 C 點未能重合,可取兩次測定之中點為延長點 C(C)經緯儀必須安置於 A 點(D)經緯儀必須安置於 B 點。
8. 標桿上漆有紅白相間油漆,每段長為(A)10 公分(B)25 公分(C)20 公分(D)5 公分。
9. 一測線之方向角為 S30°W,則相當於方位角(A)60°(B)210°(C)70°(D)150°。
10. 「感覺心力交瘁,感覺挫折,而且上班時都很難熬」此現象與下列何者較不相關?(A)工作相關過勞程度可能嚴重(B)可能已經快被工作累垮了(C)可能需要尋找專業人員諮詢(D)工作相關過勞程度輕微。
11. 水準測量之精度要求較高時,必須使用下列何者作為轉點?(A)石頭(B)鐵墊(C)測針(D)水泥路面。
12. 施測經緯儀導線時,若考慮其精度,則(A)點數愈少,邊長愈短愈好(B)邊長愈短愈好(C)點數愈少,邊長愈長愈好(D)點數愈多愈好。
13. 下列何種字體適用於地名註記?(A)聳肩字(B)隸字(C)傾斜字(D)等線字。
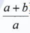
14. 地球參考橢球體之長軸半徑為 a,短軸半徑為 b,則扁率為(A)(B)(C)(D) 。
15. 鋼卷尺距離測量所能達到之最佳精度約為(A)五萬分之一(B)五千分之一(C)三千分之一(D)十萬分之一。
16. 觀測三角形之三內角,結果閉合差為 20 秒,下列改正何者最符合最小自乘法原理?(A)一角不改、二角各改 10 秒(B)二角不改一角改 30 秒(C)各角改 20/3 秒(D)一角改 10 秒另兩角各改 5 秒。
17. 以全測站經緯儀量測 A、B 點間斜距,得其距離為 536.951m;如測得垂直角為 3°00 '00",若忽略海平面歸化改正,則 AB 間水平距離為何?(A)531.577m(B)508.849m(C)536.215m(D)536.951m。
18. 測量製圖時,由於地球表面與大地水準面均非規則面,所以平面製圖時以橢球面做為投影基準。距離量測時,水平距離亦須化算到橢球面。此一化算在平面測量中通常以近似方式進行,稱為「海平面歸化改正」。若以全測站經緯儀量測 A、B 點間平距,得其距離為 1,536.951m;兩點高程均為 1,000m,設地球半徑為 6,370 公里,其「海平面歸化改正」量為何?(A)-0.241m(B)-0.024m(C)+0.241m(D)+0.024m。
19. 利用電子測距儀觀測兩測站間之水平距離,不需要觀測(A)垂直角(B)氣壓(C)儀器高(D)溫度。
20. 1/500 地圖圖幅大小為 30 ㎝×40 ㎝,其所涵蓋之面積為(A)5 公頃(B)12 公頃(C)3 公頃(D)4 公頃。
21. 洗碗、洗菜用何種方式可以達到清洗又省水的效果?(A)用熱水及冷水大量交叉沖洗達到最佳清洗效果(B)把碗盤、菜等浸在水盆裡,再開水龍頭拼命沖水(C)將適量的水放在盆槽內洗濯,以減少用水(D) 對著水龍頭直接沖洗,且要盡量將水龍頭開大才能確保洗的乾淨。
22. 有關小黑蚊敘述下列何者為非?(A)多存在竹林、灌木叢、雜草叢、果園等邊緣地帶等處(B)活動時間以中午十二點到下午三點為活動高峰期(C)無論雄性或雌性皆會吸食哺乳類動物血液(D)小黑蚊的幼蟲以腐植質、青苔和藻類為食。
23. 以數種不同規格全測站經緯儀測量,在距離為 1,000 公尺時,下列何者有較高之儀器測距精度?(A)± (2 ㎜+5ppm )(B)±(5 ㎜+2ppm )(C)±(5 ㎜+5ppm )(D)± (2 ㎜+2ppm)。
24. 經緯儀之儀器誤差中,下列何者不會影響所測得之水平角度?(A)縱角指標差(B)視準軸偏心誤差(C)視準軸不垂直橫軸(D)直立軸誤差。
25. 三角測量時,若必要架設高覘標,應考慮觀測之視線高出中間障礙物多少公尺以上?(A)4 公尺(B)5公尺(C)3 公尺(D)2 公尺。
26. 直接水準測量所測得之高程是以下列何者為基準?(A)橢球面(B)平均海水面(C)水平面(D)地平面。
27. 經緯儀之下盤可隨著上盤旋轉者為(A)精密經緯儀(B)游標經緯儀(C)羅盤經緯儀(D)複測經緯儀。
28. 經緯儀之橫軸不垂直於垂直軸時,利用正倒鏡檢查求得誤差,此時改正量為誤差的:(A)1/2(B)1/4(C)1/5(D)1/3。
29. 有關觸電的處理方式,下列敘述何者錯誤?(A)應立刻將觸電者拉離現場(B)使用絕緣的裝備來移除電 源(C)把電源開關關閉(D)通知救護人員。
30. 家庭用電最大宗來自於(A)空調及照明(B)吹風機(C)電視(D)電腦。
31. 在煉鋼廠高溫鍋爐附近測量,宜使用下列何種儀器?(A)光學水準儀及電子經緯儀(B)光學水準儀及光學經緯儀(C)電子水準儀及電子經緯儀(D)電子水準儀及光學經緯儀。
32. 物鏡表面佈滿塵土,令:甲=「將鏡頭紙撕成兩半,並將起毛邊對齊捲起成管狀,用起毛端沾蒸餾水輕拭」;乙=「用軟毛刷子輕刷」;丙=「用軟橡膠氣吹子吹」。則清理的順序為(A)丙甲乙(B)丙乙 (C)丙乙甲(D)乙甲。
33. 普通水準儀之水準器靈敏度在(A)5"~10 "(B)10"~20 "(C)20"~30 "(D)30"~40"。
34. 零度在天頂方向之全圓周式垂直度盤,正鏡時所讀之角度為(A)垂直角(B)360°-天頂距(C)天頂距(D)270°-天頂距。
35. 作視準軸校正時,如正鏡後視 A,縱轉望遠鏡前視得 B;倒鏡重新後視 A,再縱轉望遠鏡前視得 C。如 BC 為 1.6 ㎝,則校正視準軸應對(A)與 C 相距 0. 2 ㎝之點(B)與 B 相距 0. 4 ㎝之點(C)B、C 中點 (D)與 C 相距 0.4 ㎝之點。
36. 以主尺(N-1)格之長在游標上等分為 N 格,稱為(A)單游標(B)複游標(C)順讀游標(D)逆讀游標。
37. 若兩方向角為 S30°40 'W,S50°55 'W,則其夾角為(A)20°15 '(B)40°42 '25"(C)20°25 '(D)80°05 '。
38. 下列有關促進參與預防和打擊貪腐的敘述何者錯誤?(A)向社會大眾及學生宣導貪腐「零容忍」觀念 (B)提高政府決策透明度(C)儘量不讓公民團體、非政府組織與社區組織有參與的機會(D)廉政機構應受理匿名檢舉。
39. 公司負責人為了要節省開銷,將員工薪資以高報低來投保全民健保及勞保,是觸犯了刑法上之何種罪刑?(A)侵占罪(B)詐欺罪(C)背信罪(D)工商秘密罪。
40. 儀器箱除了堅固、外觀鮮明之外,還需要滿足一些要求,其中何種功能最不易滿足?(A)完全防潮(B)吸收震動(C)不怕小雨(D)外殼鎖扣附設保險裝置。
41. 台灣本島現行 2 度分帶橫麥卡托投影坐標系統,其中央經線之經度為何?(A)122° E(B)121°E(C)120° E(D)123°E。
42. 木樁校正法係用以校正(A)經緯儀(B)電子測距儀(C)水準儀(D)平板儀。
43. 下列何者行為非屬個人資料保護法所稱之國際傳輸?(A)將個人資料傳送給日本的委託公司(B)將個人資料傳送給法國的人事部門(C)將個人資料傳送給美國的分公司(D)將個人資料傳送給經濟部。
44. 精度較高之經緯儀其度盤讀數設備多採用(A)光學分微尺(B)光學測微器(C)單線放大鏡(D)游標。
45. 若容許球面角超在 2 秒以內,則在半徑多少公里的圓面積內進行水平角測量工作時,可以不必考慮地球曲率的誤差?(A)30 公里(B)40 公里(C)10 公里(D)20 公里。
46. 手持水準儀一般常用於(A)簡易高程測量(B)水準網(C)水準導線(D)斷面測量。
47. 測量寬河兩岸兩點之高程差,應實施(A)任何一種水準測量均可(B)橫斷面水準測量(C)逐差水準測量(D)對向水準測量。
48. 自望遠鏡中觀測遠方一目標,其經過十字絲交點及物鏡主點之連線,稱為(A)水準軸(B)直立軸(C)水平軸(D)視準軸。
49. 一個半徑角約為多少?(A)63.6619 度(B)28.6475 度(C)57.2957 度(D)31.8609 度。
50. 哪一種家庭廢棄物可用來作為製造肥皂的主要原料?(A)食醋(B)回鍋油(C)熟廚餘(D)果皮。
51. 下表為測站 B 對測點 A、C 做水平角之紀錄,則∠ABC 為(A)125°10 '20"(B)125°10 '15"(C)125°10 '25"(D)125°10 '10"。
52. 地圖上之" "記號,表示(A)學校(B)寺廟(C)停車場(D)公園。
53. 應用象限式之垂直度盤測垂直角,正鏡讀數為 14°31 '20",倒鏡讀數為 14°30 '50",則其指標差絕對值為(A)10"(B)20"(C)30"(D)15"。
54. 依職業安全衛生法施行細則規定,下列何者非屬特別危害健康之作業?(A)游離輻射作業(B)噪音作業(C)粉塵作業(D)會計作業。
55. 直接水準測量時,A 點水準尺之讀數為 1.259m,B 點水準尺之讀數為 1.113m,已知 A 點之高程為48.245m,則 B 點之高程為(A)45.873m(B)48.099m(C)48.391m(D)50.617m。
56. 校正水準儀之視準軸的目的,在使視準軸與(A)水平軸垂直(B)水準軸垂直(C)水準軸平行(D)水平軸平行。
57. 設後視 A 點之標尺讀數為 Ra,前視 B 點之標尺讀數為 Rb,則由 A 至 B 之高程差為(A)Ra+Rb(B)Ra.Rb(C)Rb-Ra(D)Ra-Rb。
58. 測量的三項基本要素為(A)大小、方向、作用點(B)角度、大小、距離(C)方向、作用點、高程(D)距離、方向、高程。
59. 水準儀使用之前先行校正,使(A)水準軸平行於直立軸(B)水準軸垂直視準軸(C)視準軸平行於水準軸(D)視準軸平行於直立軸。
60. 民眾焚香燒紙錢常會產生那些空氣污染物增加罹癌的機率:A.苯、B.細懸浮微粒(PM2 . 5)、C.二氧化碳(CO2 )、D.甲烷(CH4 )?(A)BC(B)A B(C)CD(D)AC。
61. 在平坦地量距時,卷尺未保持水平,對量距總長所產生之總誤差為(A)自然誤差(B)偶然誤差(C)系統誤差(D)相消誤差。
62. 有一距離為 1,000 公尺,使用之全測站經緯儀電子測距精度為±(3 ㎜+5ppm),如儀器對心誤差為±3 ㎜,稜鏡對心誤差為±5 ㎜,該距離觀測量之誤差為(A) ±10 ㎜(B) ±16 ㎜(C)± ㎜(D)±㎜。
63. 裝置於自動水準儀之水準器大都為(A)圓盒水準器(B)管狀水準器或圓盒水準器(C)管狀水準器(D)圓盒水準器及管狀水準器。
64. 在傾斜地區實施直立尺式視距測量,必須使標尺(A)稍向前傾(B)稍向後傾(C)垂直望遠鏡(D)直立。
65. 影響電子測距之氣象因素最大者為(A)氣壓(B)濕度(C)溫度(D)空氣中二氧化碳含量。
66. 經緯儀各軸定義如下:垂直軸為 VV,橫軸為 H H,視準軸為 ZZ,水準軸為 LL,則下列何者為錯?(A)ZZ⊥HH(B)HH⊥VV(C)LL⊥VV(D)ZZ⊥ LL。
67. 水準儀之裝置中,下列何者可使儀器水平?(A)目鏡環(B)測微鼓(C)微動螺旋(D)腳螺旋。
68. 根據性別工作平等法,下列何者非屬職場性騷擾?(A)公司員工執行職務時,客戶對其講黃色笑話,該員工感覺被冒犯(B)雇主對求職者要求交往,作為雇用與否之交換條件(C)公司員工下班後搭乘捷運, 在捷運上遭到其他乘客偷拍(D)公司員工執行職務時,遭到同事以「女人就是沒大腦」性別歧視用語加以辱罵,該員工感覺其人格尊嚴受損。
69. 某角度分別由技術相當之甲、乙、丙三人觀測,甲觀測一次為 47°37 '40",乙觀測九次其平均值為 47°37 '30",丙觀測四次其平均值為 47°37 '22",則此角度最或是值為(A)47°37 '00"(B)47°37 '30"(C)47°37 '28 "(D)47°37 '20"。
70. 研究地圖內容的表現形式之學科或技術稱為(A)地圖投影(B)地圖整飾(C)地圖製印(D)地圖編製。
71. 過望遠鏡十字絲中心與物鏡光學中心之連線稱為(A)水平軸(B)視準軸(C)光軸(D)水準軸。
72. 對於化學燒傷傷患的一般處理原則,下列何者正確?(A)使用酸鹼中和(B)立即用大量清水沖洗(C)於燒傷處塗抹油膏、油脂或發酵粉(D)傷患必須臥下,而且頭、胸部須高於身體其他部位。 )
73. 水準點刻號寫於(A)東面(B)西面(C)北面(D)南面。
74. 下列何種水準儀是最常用,並且觀測方便迅速?(A)定鏡水準儀(B)轉鏡水準儀(C)微傾水準儀(D)自動水準儀。
75. 台灣之高程基準係依據基隆港的潮位站何種水準面為起算標準?(A)低潮位線(B)最高潮位線(C)平均海水面(D)最低潮位線。
76. 國家溫室氣體長期減量目標為中華民國 139 年溫室氣體排放量降為中華民國 94 年溫室氣體排放量百分之多少以下?(A)50(B)40(C)20(D)30。
77. 對於墜落危險之預防設施,下列敘述何者較為妥適?(A)安全帶應確實配掛在低於足下之堅固點(B)在外牆施工架等高處作業應盡量使用繫腰式安全帶(C)高度 2m 以上之開口處應設護欄或安全網(D)高度2m 以上之邊緣開口部分處應圍起警示帶。
78. 在一點設站用經緯儀觀測數個方向之水平角時,最便捷之觀測方法為(A)方向觀測法(B)內角法(C)複測法(D)外角法。
79. 基本控制點之位置經選定後,應埋設(A)標竿(B)界標(C)都市計畫樁(D)標石。
80. 小李具有乙級廢水專責人員證照,某工廠希望以高價租用證照的方式合作,請問下列何者正確?(A)這是違法行為(B)互蒙其利(C)經環保局同意即可(D)價錢合理即可。