所屬科目:天氣學
二、以預報午後對流常用的 K 指標為例 ,,請說明各項所代表的物理意義為何?使用 K 指標預報臺 北市區午後對流的發生,其準確度並不高,請說明造成預報誤差的原因 有那些?(20 分)
三、皮得生(Petterssen)發展方程式描述近地面氣旋(渦度為 )的變化趨勢,其數學式可以寫成此形式, 說明方程式中等號右邊四項中各項的物理意義與其對應的天氣現象。 (20 分)
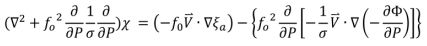
四、準地轉趨勢方程式(Tendency Equation)可以寫成下列形式, 其中χ表示重力位隨時間的變化。請討論方程式中各項的物理意義,並用以說明近地面(1000 hPa)之氣旋與鋒面的生成過程。(20 分)