所屬科目:1.電路學 2.電子學
(一)
(二)
(三)
(四)
(一)當 β = ∞ 時,求。(10 分)
(二)當 β = 100 時,求。(15 分)
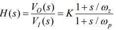
(一)推導此一電路極點。(5 分)
(二)當 ,推導此電路的放大率。(5 分)
(三)當,推導此電路的放大率。(5 分)
(四)推導此一電路正規化的轉換函數 。(10 分)