所屬科目:研究所、轉學考(插大)◆物理與天文
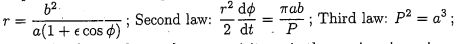
where P is the orbital period, e is the eccentricity, a is the semi-major axis, and b =
is the semi-minor axis.
(b) (5 points) Show that the acceleration in the direction is zero.
(C) (15 points) Show that the acceleration in the direction is inversely proportional to r2.
(b) (7 points) A sphere of ionized nuclei and electrons has radius R and mass M (the sphere is neutral as a whole). Suppose the sphere is cold enough that the internal energy of the sphere is dominated by the quantum motion of electrons. If the total kinetic energy of the electrons is roughly the same as the total Coulomb binding energy, the relation between the radius and the mass can be approximated as . Find a.
(C) (7 points) Now if the total kinetic energy of the electrons in (b) is roughly the same as the total gravitational energy of the sphere (neglect Coulomb interaction), once again the relation between the radius and the mass can be approximated as