所屬科目:研究所、轉學考(插大)◆線性代數
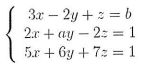
[2]. (15%) Find real mumbers a, b such that the linear system has (1) no solution, (2) a unique solution, (3) infinitely many solutions.
[3].(14%) Show that rank(C) ≤min {rank(A),rank(B)},
(c) Find a matrix P such that AP is the Jordan form in (b).