所屬科目:研究所、轉學考(插大)◆線性代數
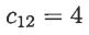
1. Let
Which of the following statements is correct? (A)let( A )=-119 (B) det( A )=121 = (C) det( A )= -121 (D) det( A )= 11
2. Find a to f so that the matrix is slew-symmetric.
(A) a=-8,6=-6,c=0,d=2,e=-2 (B)a=-2,6=2,c=7,d=-6,6,=-8 (C)a=8,6=6,c=0,d=-2,e=2 (D)a=2,6=-2,c=-7,d=6,e=8
3. Which of the following matrices can be factorized as A = LU, wh lower triangular matrix and I is an upper triangular matrix? (A)(B)(C)(D)
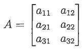
4. be a real matrix such that
Which of the following statements is correct? (A)(B)(C)(D)
5. and let denote the classi- cal adjoint of A. Which of the following statements is correct? (A)(B)(C)(D)
6. Let
Find the rank of A. (A) rank( A )=1(B) rank( A )=2 2 (C) rank( A )=3(D) rank( A )=4
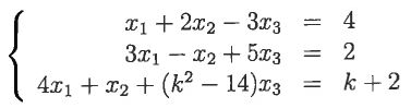
7. Solve k such that the following system
has infinitely many solutions. (A)k=2(B)k=4(C)k=-4(D)k=8
8. (4 points) Let the subspace be defined as:
Which of the following vectors les in the orthogonal complement ment (A)(B)(C)(D)
9. Let u = [-1,2] and u = [3,-5] in and let T : be a linear transformation such that T(u) = [-2,1,0] and T(v)= (5,-7,1]. Let
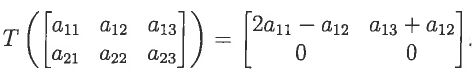
be the standard matrix representation of T. Which of the following is TRUE? (A)(B)(C)(D)
10. Which of the following sets of functions is linearly independent? (A) (B) (C)(D)
11. T : defined by Find rank(T). (A) rank(T)=1(B) rank(T)=2 2 (C) rank(T)=3 (D) rank(T) = 4
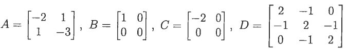
12. Let
Classify matrices A, B, C, and D according to the categories: (1) Positive Definite, (2) Negative Definite, (3) Positive Semi-Defnite, (4) Negative Semi-Defite. Which of the following gives the correct order of matrices from category (1) to (4)? (A) BACD (B) ADCB (C) ADBC (D) DABC
13. Which of the following statements is FALSE about the algebraic and geomet- ric multiplicities of the eigenvalues of A?
(A) The algebraic multiplicity of the eigenvalue -1 is 1. (B) The algebraic multiplicity of the eigenvalue 2 is 2. (C) The geometric multiplicity of the eigenvalue -1 is 1. (D) The geometric multiplicity of the eigenvalue 2 is 2.
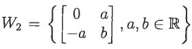
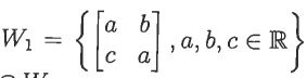
14. ,, Find the dimen-sione of W1∩W2 sion of WinWz. (A) dim(Wi∩Wz)=1 (B) dim(W1∩W2)=2 (C) dim(W1∩W2)=3 (D) dim(W1∩W2)=4
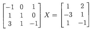
15. . (A)(B)(C)(D)
16. Let T : be a function. Which of the following defines a linear transformation? (A) T(a1, a2) = (1, a1) (B) T(a1, a2) = (a1, a2) (C) T(a1,a2) = (a1 + 1, a2) (D) T(a1,a2) = (a1 cosθ-a2sinθ, a1 sinθ+a2cos θ), for a fixed angle θ
17. Which of the following statements is FALSE?
(A) S is a basis for a vector space V if and only if S is a minimal spanning set.
(B) V is a finite-dimensional vector space (dim(V) <∞), and W is a subspace of V. If dim(V) = dim(W), then W = V.
(C) Let V and V'be vector spaces having the same finite dimension, and let T:V→ V be a linear transformation. Then T is one-to-one if and only if range(T) = V'
(D) Let V and V' be vector spaces of dimensions n and m, respectively. A linear transformation T : V -+ is invertible if and only if m = n.
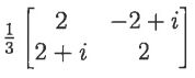
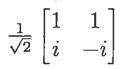
18. Which of the following matrices are unitary? will 10:13 2100 (A)(B)(C)(D)
19. Considering the following matrix: The eigenvalues of the matrix﹕
The eigenvalues of the matrix A are
(A)-1(B)1(C)6(D)7(E)2
20. Which of the following statements are correct?
(A) A linear system with fewer equations than unknowns may have no solution.
(B) Every linear system with the same number of equations as unknowns has a unique solution.
(C) A linear system with coefficient matrix A has an infinite number of solutions if and only if A can be row-reduced to an echelon matrix that includes some column containing no pivot.
(D) If [A|b) and [B|c] are row-equivalent partitioned matrices, the linear systems Ax = b and Bx = c have the same solution set.
(E) A linear system with a square coefficient matrix A has a unique solution if and only if A is row equivalent to the identity matrix.
21. Which of the following statements are NOT correct?
(A) Let A be a real n x n matrix. If A2 is invertible, then and A3 are invertible.
(B) If A and B are invertible, then so is A+B, and .
(C) Let A be a real m x n matrix and B a real n x m matrix. Then trace(AB) = trace(BA).
(D) Let A be a real m x matrix and B a real n x m matrix. Then det(AB) = det(BA).
(E) Let A and B be real n x n matrices. Then AB = BA.
22. Which of the following statements are NOT correct?
(A) Any linear operator on an n-dimensional vector space that has fewer than n distinct eigenvalues is not diagonalizable.
(B) Two distinct eigenvectors corresponding to the same eigenvalue are always linearly independent.
(C) If A is an eigenvalue of a linear operator T, then each vector in the eigenspace is an eigenvector of T.
(D) A linear operator 7 on a finite-dimensional vector space is diagonalizable if and only if the multiplicity of each eigenvalue A equals the dimension of the corresponding eigenspace .
(E) If A is diagonalizable, then is also diagonalizable.
23. Which of the following statements are NOT correct? (A) If S is linearly independent and generates V, each vector in V can be expressed uniquely as a linear combination of vectors in S. (B) Every vector space has at least two distinct subspaces. (C) No vector is its own additive inverse. (D) All vector spaces having a basis are fnitely generated. (E) Any two bases in a finite-dimensional vector space V have the same number of elements.
24. Let W1 and W2 be subspaces of a finite-dimensional vector space V. Let ⊕ denote the direct sum. Which of the following statements are correct?
(A) W1 ∩W2 is a subspace of V.
(B) W1 ∩W2 is a subspace of V.
(C) W1+W2 is a subspace of V.
(D) If V = W1 ⊕W2, and β1 and B2 are bases for W1 and W2, respectively, then β1 and B2 = 0, and β1 ∪ β2 is a basis for V.
(E) If W1 ⊕ W2 = V, then the dimension dim(V) = dim(W1)+dim(W2).
25. Which of the following statements are correct?
(A) If Q is orthogonal, then det(Q) = ±1.
(B) Let A be a real n x n matrix. Then A is symmetric if and only if A is orthogonally equivalent to a real diagonal matrix.
(C) Let A ∈ be a matrix whose characteristic polynomial splits over . Then A is orthogonally equivalent to a real upper triangular matrix.
(D) Let T be a self-adjoint (Hermitian) operator on a finite-dimensional inner product space V. Then every eigenvalue of T is positive.
(E) Let T be a self-adjoint (Hermitian) operator on a finite-dimensional inner product space V. Then every eigenvalue of T is negative.