所屬科目:研究所、轉學考(插大)◆線性代數
1. (10%) Consider the set S = {0,1} with the operations: A binary matrixcan be generated from binary matrix. denotes an identity matrix .Suppose we have a matrix G' given byPlease use G' to find binary matrices G and H. (Hint: use reduced row echelon form)
2. (8%) Let Please find f(A).
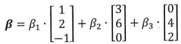
(12%) Let T:R2 → R3 be the linear transformation defined by T(x) = [x1 + x2, x1 - 2x2, x2]T. 1f we represent any vector a in and any vectorβ in R3as , please find the corresponding matrix M such that
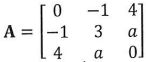
4. (8%) Consider the matrix A = . Diagonalization of matrix C is denoted by QTAQ,where Q is an orthogonal matrix. is the first column of Q, please find the value of a.
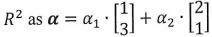
5. (12%) Let v1,v2,v3 be any vectors in IR". Let 2v3 . Determine whether w1, w2, w3 are independent or not and explain specifically.
6.(8%) Suppose is a normal matrix. Prove that the eigenvectors of A corresponding to different eigenvalues are orthogonal.
7. (12%) Suppose matrix . Find a matrix B such that B ● B = A.
(B)(3%) Compute
(C)(4%) Prove that det= adj(adj(A)).
9. (12%) . Please compute the QR decomposition of A, where Q is an orthonormal matrix and R is an upper-triangular matrix.