所屬科目:研究所、轉學考(插大)◆線性代數
1. [10%] Let be a linearly independent sct in some vector space over C. Find all value(s) of forms a linearly independent set.
(4) Let be a linearly independent subsct of S. What is the possible maxinal value of n?
3. [15%] Let T be the linear transform on the sct Mn(R) of n X n matrices over R defined as T(A) = (A+ At)/2, where At stands for the transpose of . Find all eigenvalues of
4. [15%] Find the Jordan form of the matrix
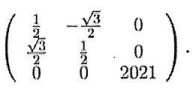
5. [15%] Let T : R3 → R3 be linear so that its matrix representation under some basis of R3isShow that there is no trivial invariant subspace for T.
6. [15%] Let T:V →V be a lincar map, where Y is a vector space with dimension nh. Suppose that there exists some voe rctor Show that with respect to some basis of V, T has the matrix reprosentation of the form