所屬科目:研究所、轉學考(插大)◆線性代數
(ii) (3%) If
(iii) (3%) For any and A have the same characteristic polynomial.
(v) (5%) For any, Null(AT A) = Null(A).
(vi) (5%) If satisfies A2 = 2A - Is, then A = I3.
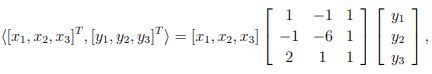
(vii) (5%) In R3, if we define the inner product <,> by then R3 with this defined inner product is an inner-product space.
(2) (5%) Let W = Find an orthonormal basis of W.
(3) (7%) Let Find a basis of Null(A).
(ii) (7%) Find a matrix Q such that is a diagonal matrix.
(iv) (7%) Compute.
(7) (8%) Show that, if is symmetric, then all eigenvalues of A are real.
(8) (8%) Let . Show that rank(AB) ≤ rank(A).