阿摩線上測驗
登入
首頁
>
研究所、轉學考(插大)◆線性代數
>
110年 - 110 國立高雄大學_碩士班招生考試_應用數學系:線性代數#105691
> 申論題
題組內容
(6) Define T :
, where
(iii) (6%) Show that T is one-to-one.
相關申論題
(iv) (3%) If two matrices are similar, then they have the same eigenvalues.
#449536
(v) (5%) For any, Null(AT A) = Null(A).
#449537
(vi) (5%) If satisfies A2 = 2A - Is, then A = I3.
#449538
(vii) (5%) In R3, if we define the inner product by then R3 with this defined inner product is an inner-product space.
#449539
(2) (5%) Let W = Find an orthonormal basis of W.
#449540
(3) (7%) Let Find a basis of Null(A).
#449541
(i) (7%) Find all eigenvalues of A and the algebraic multiplicity of each eigenvalue.
#449542
(ii) (7%) Find a matrix Q such that is a diagonal matrix.
#449543
(5) (8%) Find the least-squares fit to the data points (-2,3), (-1,2), (1, -1), (2, -4) by a linear function.
#449544
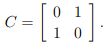
(i) (4%) Show that C is an orthogonal matrix.
#449545
相關試卷
112年 - 112 國立台灣大學_碩士班考試入學試題:線性代數(A)#130266
112年 · #130266
110年 - 110 國立清華大學碩士班考試入學試題_數學系碩士班:線性代數#105741
110年 · #105741
110年 - 110 國立高雄大學_碩士班招生考試_應用數學系:線性代數#105691
110年 · #105691
110年 - 110 國立中央大學_碩士班招生考試_數學系/數學、應用數學組(一般生、在職生):線性代數#105306
110年 · #105306
110年 - 110 國立清華大學碩士班考試入學試題_數學系:線性代數#104957
110年 · #104957
110年 - 110 國立中山大學碩士暨碩士專班招生考試_應數系碩士班/乙組:線性代數乙#104340
110年 · #104340
110年 - 110 國立中山大學碩士暨碩士專班招生考試_通訊所碩士班/甲組:線性代數#104309
110年 · #104309
110年 - 110 國立中山大學碩士暨碩士專班招生考試_應數系碩士班/丙組:線性代數丙#104308
110年 · #104308
110年 - 110 國立臺灣大學_碩士班招生考試_部分系所:線性代數(C)#100943
110年 · #100943
110年 - 110 國立臺灣大學_碩士班招生考試_工程科學及海洋工程學研究所丁組:線性代數(B)#100700
110年 · #100700