所屬科目:研究所、轉學考(插大)◆線性代數
(c) Find an orthogonal matrix Q and diagonal matrix such that QTAQ = A. (10%)
(b)(4%)
5. Let V be a 2-dimensional subspace of and ν1●ν2 = 2. Let u = v1 - 2ν2 . Find ||ull.(10%)
6. Is L a linear transformation? Why or why not? (10%)
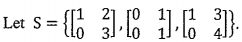
7. Let c be a constant For what values of C is the matrix in the span of S?(10%)