阿摩線上測驗
登入
首頁
>
研究所、轉學考(插大)◆線性代數
>
110年 - 110 國立臺灣大學_碩士班招生考試_部分系所:線性代數(C)#100943
> 申論題
題組內容
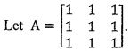
1.
(c) Find an orthogonal matrix Q and diagonal matrix
such that Q
T
AQ = A. (10%)
相關申論題
(a) Find the eigenvalues of A.(5%)
#423020
(b) Find a bases for each eigenspace. (5%)
#423021
( a) One solution.(7%)
#423023
(b) No solution. (7%)
#423024
(c) Infinitely many solutions. (6%)
#423025
(a) det(A).(4%)
#423026
(b)(4%)
#423027
(c)det(AT A). (4%)
#423028
(d) det(AT - A).(8%)
#423029
4. Suppose A and B are n x n matrices. A is symmetric and B is skew symmetric. Determine if AB is symmetric, skew symmetric, both, or neither. Either give a proof, or find an example. (10%)
#423030
相關試卷
112年 - 112 國立台灣大學_碩士班考試入學試題:線性代數(A)#130266
112年 · #130266
110年 - 110 國立清華大學碩士班考試入學試題_數學系碩士班:線性代數#105741
110年 · #105741
110年 - 110 國立高雄大學_碩士班招生考試_應用數學系:線性代數#105691
110年 · #105691
110年 - 110 國立中央大學_碩士班招生考試_數學系/數學、應用數學組(一般生、在職生):線性代數#105306
110年 · #105306
110年 - 110 國立清華大學碩士班考試入學試題_數學系:線性代數#104957
110年 · #104957
110年 - 110 國立中山大學碩士暨碩士專班招生考試_應數系碩士班/乙組:線性代數乙#104340
110年 · #104340
110年 - 110 國立中山大學碩士暨碩士專班招生考試_通訊所碩士班/甲組:線性代數#104309
110年 · #104309
110年 - 110 國立中山大學碩士暨碩士專班招生考試_應數系碩士班/丙組:線性代數丙#104308
110年 · #104308
110年 - 110 國立臺灣大學_碩士班招生考試_部分系所:線性代數(C)#100943
110年 · #100943
110年 - 110 國立臺灣大學_碩士班招生考試_工程科學及海洋工程學研究所丁組:線性代數(B)#100700
110年 · #100700