阿摩線上測驗
登入
首頁
>
研究所、轉學考(插大)◆線性代數
>
110年 - 110 國立中山大學碩士暨碩士專班招生考試_應數系碩士班/丙組:線性代數丙#104308
> 申論題
題組內容
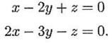
2. [30%] Let S be the set of solutions to the system of linear equations
(3) What is the dimension of S?
相關申論題
1. [10%] Let be a linearly independent sct in some vector space over C. Find all value(s) of forms a linearly independent set.
#441629
(1) Prove that S is a subspace of R3.
#441630
(2) Find a basis for this subspace S.
#441631
(4) Let be a linearly independent subsct of S. What is the possible maxinal value of n?
#441633
3. [15%] Let T be the linear transform on the sct Mn(R) of n X n matrices over R defined as T(A) = (A+ At)/2, where At stands for the transpose of . Find all eigenvalues of
#441634
4. [15%] Find the Jordan form of the matrix
#441635
5. [15%] Let T : R3 → R3 be linear so that its matrix representation under some basis of R3isShow that there is no trivial invariant subspace for T.
#441636
6. [15%] Let T:V →V be a lincar map, where Y is a vector space with dimension nh. Suppose that there exists some voe rctor Show that with respect to some basis of V, T has the matrix reprosentation of the form
#441637
Problem 6 :Let A and B be elements in (C). Suppose that AB - BA = c⋅(A - B) for some non-zero c ∈ C. Prove that there exists an invertible matrix P ∈ (C) such that AP and BP are upper-triangular matrices with the same diagonal entries.
#552123
Problem 5 :Let A, B ∈ (R). Prove that rank A + rank B ≤ n if and only if there exists an invertible matrix X ∈ (R) such that AXB = .
#552122
相關試卷
112年 - 112 國立台灣大學_碩士班考試入學試題:線性代數(A)#130266
112年 · #130266
110年 - 110 國立清華大學碩士班考試入學試題_數學系碩士班:線性代數#105741
110年 · #105741
110年 - 110 國立高雄大學_碩士班招生考試_應用數學系:線性代數#105691
110年 · #105691
110年 - 110 國立中央大學_碩士班招生考試_數學系/數學、應用數學組(一般生、在職生):線性代數#105306
110年 · #105306
110年 - 110 國立清華大學碩士班考試入學試題_數學系:線性代數#104957
110年 · #104957
110年 - 110 國立中山大學碩士暨碩士專班招生考試_應數系碩士班/乙組:線性代數乙#104340
110年 · #104340
110年 - 110 國立中山大學碩士暨碩士專班招生考試_通訊所碩士班/甲組:線性代數#104309
110年 · #104309
110年 - 110 國立中山大學碩士暨碩士專班招生考試_應數系碩士班/丙組:線性代數丙#104308
110年 · #104308
110年 - 110 國立臺灣大學_碩士班招生考試_部分系所:線性代數(C)#100943
110年 · #100943
110年 - 110 國立臺灣大學_碩士班招生考試_工程科學及海洋工程學研究所丁組:線性代數(B)#100700
110年 · #100700