所屬科目:研究所、轉學考(插大)◆機率
2. Let A1, A2, A3 be events in a sample space . Let P(A1) = 0.4, P(A2) = 0.2, P(A3) = 0.4, and AinA . Let B be another event with = 0.05. What is? (A) 0.8 (B) 0.4 (C) 0.1 (D) 0.08 (E) None of these
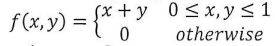
3.Consider two random variables X and Y with joint pdf Which of the following statements is correct? (A) E[X]=1/2 (B) P(X+Y≤1)=1/2 (C) E[XY]=1/3 (D) Xand Y are uncorrelated (E) X and Y are independent f(x,y)=段古
4. Let U be uniformly distributed over [0,1]. Which of the following statements is wrong? (A) E[U]=1/2 (B) Var(U)= 1/12 (C)Let Y = -In (U). The pdf of Y is. (D) Let Z = eU. The pdfofZ is f(z) = 1/z, for 1 ≤ z ≤ e. (E) The MGF of U is
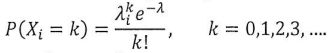
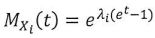
5. Consider two independent random variables X1 and X2 with Poisson distribution: Which of the following statements is wrong? (A) The mean of Xi is λi (B) The variance of Xi is 1/ λi (C) The moment generating function of Xi is(D) X1 + X2 is Poisson distributed (E) None of these
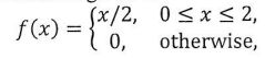
7. If the pdf of a continuous random variable is given as, what is the value of P(X = 1)? (A) 0 (B) 1/4 (C) 1/3 (D) 1/2 (E) 1
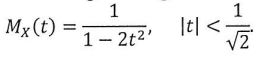
9. Let X be a random variable with a moment generating function of the form 'What is the variance of X ? (A)0 (B) 1 (C) (D) (E)
(b) (5%) Find the conditional pif
(c) (5%) Find the conditional pdf
(d) (5%) Find the conditional mean E[Y]X = x], forx ≥ 0