所屬科目:研究所、轉學考(插大)◆工程數學
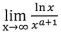
1. Evaluatefor any a > 0. (5%)
3.Let . Find a symmetric matrix B and a skew-symmetric matrix C, such that B+C=4. 1 0] (5%)
4.Solve +y=x, y(0)=3.(10%)
(2) Solve +3y= 13sin(2t), y(0)=6.(15%)
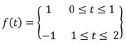
9. Find the Fourier series in complex form for the periodic function f(t) with period 2, .(18%)