所屬科目: 中山◆資工◆離散數學
Problem 3. (5%) Let x = (1,3,5)(1,2) and y = (1,5,7,9) Group G. Please calculate. Please justify your answer. Otherwise, you get 0 points.
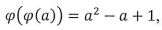
Problem 5 (15%) Assume that φ: R→ R is a function that satisfieswhere a is a real number. Findφ(0). Please justify your answer. Otherwise, you get 0 points.
Problem 8 (25%) Apply the Depth-First Search algorithm to find out the traversal order, where the vertex "a" is the start, and the vertices with lower adjacent weights should be visited first. Please justify your answer. Otherwise, you get 0 points. Hint: Use a stack.