所屬科目:研究所、轉學考(插大)◆工程數學
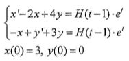
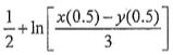
4. Find the value of by solving the initial value problem for the given system of differential equations, where H(t-a) is unit step function or Heaviside function. Show the details. (20%)
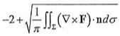
5. Let vector field F=-yi+xyj-xyzk. Evaluate the value of , where Σ is the part of the cone . Showthedctails. (20%)
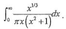
6.Evalbluate(10%)