所屬科目:研究所、轉學考(插大)-微積分
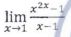
(a)
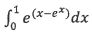
(b)
(c)
(d)(20%)
(b) (10%)
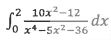
3. For the demand equation and x=2 (10%)
5. Find the area between the graphs (10%)
6. Determine convergence or divergence of the series (10%)
7. Let. Use the definition of derivative (no differentiation rule) to find f'(x) (10%)
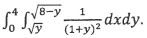
9. Evaluate the iterated integral