所屬科目:研究所、轉學考(插大)◆普通數學
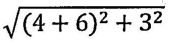
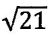
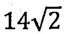
1.如圖,螞蟻在長為6、寬為4、高為3的長方體A點,打算從A點走到G點(底面可行走),其間必須穿越,請問螞蟻需要爬行的最短距離為? (A)(B)(C)(D)
4.下圖為正立方體展開圖,有三組平行的面,已知各組兩面的數字和小於100 相等,其中A、B、C為質數,則3A+2B+C=? (A)57 (B) 73 (C)87 (D)42
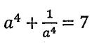
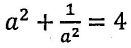
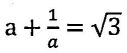
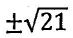
5.已知a為正數,a為x2+x-1=0的解,則下列關於a的敘述何者正確? (A)(B) (C)(D)
7.已知x>0,且=? (A)(B)(C)(D)以上皆非。
10.試的小數第二位是多少? (A)5(B)6 (C)7 (D)8ㆍ
11.已知某圓錐底部半徑20且側面展開圖剛好是一個半圓,試問該圓錐的高為? (A)20π (B)20 (C)(D) 。
1.△ABC中,為∠BAC的角平分線·求=?(10 分)
2.如圖,圓O1、O2相交C、D兩點,已知圓O1半徑13,圓O2半徑20,=,其外公切線交兩於A、B兩點,連接=?(10分) (註:132=169,142=196,202=400,212=441)
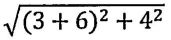
4.求?(10分)