阿摩線上測驗
登入
首頁
>
研究所、轉學考(插大)◆工程數學
> 110年 - 110 國立臺北科技大學_碩士班招生考試_光電工程系碩士班:工程數學#102035
110年 - 110 國立臺北科技大學_碩士班招生考試_光電工程系碩士班:工程數學#102035
科目:
研究所、轉學考(插大)◆工程數學 |
年份:
110年 |
選擇題數:
0 |
申論題數:
7
試卷資訊
所屬科目:
研究所、轉學考(插大)◆工程數學
選擇題 (0)
申論題 (7)
一、請解微分方程式
(20%)
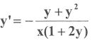
二、請解微分方程式
;其中x>0(20%)
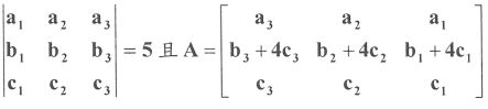
(a)請求
(b)請問A是奇異或非奇異矩陣?為什麼?
四、已知
;求A之行列式值。(20%)
(a)求該流場在點(1,0,1)處的散度(Divergence)
(b)請說明,所求得散度的物理意義
相關試卷
110年 - 110 國立中央大學_碩士班招生考試_機械工程學系、機械工程學系(光機電工程)、能源工程研究所_(共同):工程數學#125285
110年 · #125285
110年 - 110 國立臺灣大學_碩士班招生考試_部分系所:工程數學(A)#125255
110年 · #125255
110年 - 110 台灣聯合大學系統_碩士班招生考試_電機科:工程數學(C)#125211
110年 · #125211
110年 - 110 台灣聯合大學_碩士班招生_電機類:工程數學C#124898
110年 · #124898
110年 - 台聯大_工程數學B#113346
110年 · #113346
110年 - 110 國立臺灣科技大學_碩士班招生試題_材料科學與工程系(乙組):工程數學#113288
110年 · #113288
110年 - 110 國立台北科技大學碩士班招生考試_自動化科技研究所:工程數學#111318
110年 · #111318
110年 - 110 國立臺灣大學_碩士班招生考試_部分系所:工程數學(D)(含線性代數、機率與統計)#111303
110年 · #111303
110年 - 110 台灣聯合大學系統碩士班招生考試_電機類:工程數學A#110408
110年 · #110408
110年 - 110 國立臺北科技大學_碩士班招生考試_機械工程系機電整合碩士班:工程數學#107430
110年 · #107430