所屬科目:研究所、轉學考(插大)◆工程數學
(1) 2 sin ydx+cos ydy=0, (10 pls)
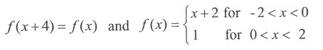
3. (1) Obtain the Fourier series representation of the function f(x),
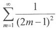
(2) Use the result from ( 1) to calculate .
4. (1) Use Gauss elimination to solve the following system equation (10 pts)
(2) Write set of linear equations in (1) as Ax= e. Find and use this to solve for x. (10 pts)
5. Please solve the following PDE. (20 pts)