所屬科目:研究所、轉學考(插大)◆工程數學
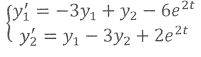
1. Find a general solution by variation of parameters.(25%)
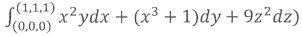
4. Find the integral along the path (x,y,z)=(0,0,0)→(0,1,0)→(1,1,1). (25%)