所屬科目:研究所、轉學考(插大)◆材料力學
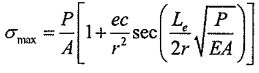
1. A W200×59 steel column shown in Fig. 1-1 and Table 1-1 is made of material with modulus of elasticity E of 200 GPa and yielding stress σy of 250 MPa. The column is fixed at its base and braced at the top so that it is fixed from displacement, yet free to rotate about the y-y axis; also, it can sway to the side in the y-z plane. Determine the maximum eccentric load (P) the column can support before either the column begins to buckle or the steel of the column yields.(25%)Secant Formula:
1) Plot the moment diagram and shear diagram of the beam.
2) Compute the rotational angle of the beam at point B.
3) Identify the value and location of the maximum curvature in the beam.
1) Find the absolute maximum shear stress at the location of the strain gages in terms of p, r and t.
2) If εb=3εc, find the value of Poisson's ratio v for the material of the vessel.
1) If P = 1000 kN, what is the displacement at Point C, including both the magnitude and direction?
2) What is the maximum value of P? Why can't it be larger?