所屬科目:研究所、轉學考(插大)、學士後-計算機概論
2.測試工程師(QA)於測試程式時,不管內部如何運作、只在是否能夠運作正常,此種測試為: (A)白箱測試(B)黑箱測試 (C)α-測試(D)β-測試
5.ASC∥碼7個bit表示一個字元,已知「z'>B」而‘B的 ASCII 碼為,請問‘Z’的ASCII 碼是下列何者?(右下角 標示數字表示所採用進制) (A) (B) (C) 1328(D) 1101102
6.以下是一以c程式語言撰寫的函式(function),如果target的值為6,呼叫youUnderstnd(taret)的執行結果為何?
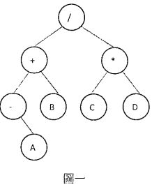
7.圖一為算運算式的二元樹,請以前序巡訪(Preorder traversal)、中序巡訪(Inorder traversal)、後序巡訪(Postorder traversal)寫出對應的算術運算式,必要時可以使用括號。
8.圖二為一實體關係模式圖(ERModelDigram),請將其轉換為關聯式資料模式(Relational ata Mdel)。