所屬科目:研究所、轉學考(插大)◆電路學
3. For the circuit shown in Figure 2 with input voltage . please determine the output voltage Vo under the following conditions: a) the op-amp is ideal [5]: b) the op-amp is not ideal and has the following paraneters: input resistance Ri-500kΩ. output resistance Ro.=200 Ω. and voltage gain Av.=2x 104. [15]
4. A sinusoidal AC voltage source is supplying the power to a serics connected RLC network with R= 0.2Ω. L= 20 μ H. and C= 5 μ H. Please determine the expression of energy. EL(t). stored inside the inductor L if the firequency of the voltage source is: a) 60Hz: b) 16kHz. [10]
5. For the circuit shown in Figure 3. aI Ω resister is shorted by closing the switch at t=0. Please determine the inductor current [20]
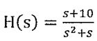
6. The s-domain transfer function of'a complex network can be expressed as:. Please draw the bode plots (both magnitude and phase) of H(s). Please clearly mark those critical points and the slopes of those curves. [20]