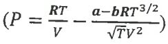
1. (15%) The pressure derivative of entropy at the constant temperature is written in termns of
P. Ifliquid ammonia at 350 K is compressed from saturation pressure of 270 kPa to 1000
kPa, determine its enthalpy (△H, kJ/kg) and entropy (△S, kJ/kg-K) changes. For saturated
liquid ammonia at 350 K, liquid volume and volume cxpansivity (β) are 1.551 x 10-3 m3• kg-1and2.095 x 10-3 K-1, respectively.