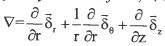
(b) (5%) The streum function y is a convenient pxrameter by which we can represent two- dimensional steady incompres ressible flow. Herein, we want to use stream function to describe the velocity in cylindrical low, vi and vo. Please desctibe v, eand yo by stream functiom,
, in cylindrical coordinates]