阿摩線上測驗
登入
首頁
>
研究所、轉學考(插大)◆工程數學
> 110年 - 110 國立高雄科技大學_碩士班招生考試_機械工程系:工程數學(甲、乙、丙組)#103884
110年 - 110 國立高雄科技大學_碩士班招生考試_機械工程系:工程數學(甲、乙、丙組)#103884
科目:
研究所、轉學考(插大)◆工程數學 |
年份:
110年 |
選擇題數:
0 |
申論題數:
6
試卷資訊
所屬科目:
研究所、轉學考(插大)◆工程數學
選擇題 (0)
申論題 (6)
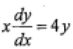
(1)解微分方程
(20%)
(2)解微分方程y"-5y'+4y=8e
x
(20%)
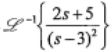
(3)求反Laplace 轉換
。(20%)
(提示:
)
(A)求解包含此三點之平面方程式。(10%)
(B)此三點所圍成之三角形的面積(10%)。
(5)證明三向量加=<1,2,3>,b=<4,5,6>,c=<7,8,9>為線性獨立或線性相依。(20%)。
相關試卷
110年 - 110 國立中央大學_碩士班招生考試_機械工程學系、機械工程學系(光機電工程)、能源工程研究所_(共同):工程數學#125285
110年 · #125285
110年 - 110 國立臺灣大學_碩士班招生考試_部分系所:工程數學(A)#125255
110年 · #125255
110年 - 110 台灣聯合大學系統_碩士班招生考試_電機科:工程數學(C)#125211
110年 · #125211
110年 - 110 台灣聯合大學_碩士班招生_電機類:工程數學C#124898
110年 · #124898
110年 - 台聯大_工程數學B#113346
110年 · #113346
110年 - 110 國立臺灣科技大學_碩士班招生試題_材料科學與工程系(乙組):工程數學#113288
110年 · #113288
110年 - 110 國立台北科技大學碩士班招生考試_自動化科技研究所:工程數學#111318
110年 · #111318
110年 - 110 國立臺灣大學_碩士班招生考試_部分系所:工程數學(D)(含線性代數、機率與統計)#111303
110年 · #111303
110年 - 110 台灣聯合大學系統碩士班招生考試_電機類:工程數學A#110408
110年 · #110408
110年 - 110 國立臺北科技大學_碩士班招生考試_機械工程系機電整合碩士班:工程數學#107430
110年 · #107430