阿摩線上測驗
登入
首頁
>
資料處理
> 110年 - 110 地方政府特種考試_三等_統計:資料處理#104911
110年 - 110 地方政府特種考試_三等_統計:資料處理#104911
科目:
資料處理 |
年份:
110年 |
選擇題數:
0 |
申論題數:
11
試卷資訊
所屬科目:
資料處理
選擇題 (0)
申論題 (11)
(一) SELECT 課程資料表.課程 ID, 課程資料表.課程名稱, 老師資料表. 姓名, 課程資料表.上課教室, 老師資料表.電話, 老師資料表.地址 FROM 老師資料表 INNER JOIN 課程資料表 ON 老師資料表.老師 ID = 課程資料表.老師 ID ORDER BY 課程資料表.課程 ID(5 分)
(二) SELECT 課程資料表.課程 ID, 課程資料表.課程名稱, 老師資料表. 姓名, 課程資料表.上課教室, 老師資料表.電話, 老師資料表.地址 FROM 老師資料表 RIGHT JOIN 課程資料表 ON 老師資料表.老師 ID = 課程資料表.老師 ID ORDER BY 課程資料表.課程 ID(7 分)
(三) SELECT 課程資料表.課程 ID, 課程資料表.課程名稱, 老師資料表. 姓名, 課程資料表.上課教室, 老師資料表.電話, 老師資料表.地址 FROM 老師資料表 LEFT JOIN 課程資料表 ON 老師資料表.老師 ID = 課程資料表.老師 ID ORDER BY 課程資料表.課程 ID(8 分)
(四) SELECT 課程資料表.課程名稱, 課程資料表.上課教室 FROM 課程資料表 UNION
SELECT 老師資料表.姓名, 老師資料表.地址 FROM 老師資料表 (10 分)
(一)請問上述 RAID 模式,可以允許同時兩顆硬碟出錯,而還能正確還原 資料的模式有那幾種?(4 分)
(二)我們定義磁碟陣列的磁碟利用率為其實際可以儲存資料的大小除以 全部硬碟的空間。請問上述 RAID 模式中,磁碟利用率大於(不含) 1/2 的有那幾種?(6 分)
(三)上述 RAID 模式中,資料讀取效能最差的是那一種模式?寫入效能最 好的是那一種模式?(10 分)
(一)請問何謂 SSID?(7 分)其是唯一的嗎?(3 分)
(二)請寫出三種主流的無線加密方式,並說明之。(15 分)
(一)寫一個函式 int mymax(int n, int** array)來計算正整數方陣中所有元 素的最大值,其中輸入參數 array 為大小 n n 的二維正整數方陣,回傳值為該方陣中的元素最大值。(10 分)
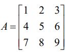
(二)使用上述函數,寫一個程式來計算正整數矩陣
的最大值,陣列變數 A 在宣告時需使用動態記憶體方式配置。 (15 分)
相關試卷
115年 - 115 身心障礙特種考試_三等_統計:資料處理#138981
115年 · #138981
114年 - 114 地方政府公務特種考試_三等_統計:資料處理#134709
114年 · #134709
114年 - 114 地方政府公務特種考試_四等_統計:資料處理概要#134693
114年 · #134693
114年 - 114 公務升官等考試_薦任_統計:資料處理#133027
114年 · #133027
114年 - 114 新北市公立高級中等學校_教師聯合甄選試題:資料處理科#129032
114年 · #129032
114年 - 114 普通考試_統計:資料處理概要#128748
114年 · #128748
114年 - 114 高等考試_三級_統計:資料處理#128698
114年 · #128698
113年 - 113 地方政府公務特種考試_四等_統計:資料處理概要#124481
113年 · #124481
113年 - 113 地方政府公務特種考試_三等_統計:資料處理#124275
113年 · #124275
113年 - 113 民航特種考試_三等_飛航諮詢:資料處理#122607
113年 · #122607