所屬科目:一二等大副◆貨物作業
36. 貼有如圖標誌之危險貨物,是屬於那一類危險品? (A)爆炸物 (B)易燃 固體 (C)腐蝕性物質 (D)其他危險物質
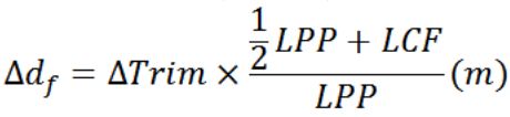
44. 假設浮面中心位於中心線之後,距離為LCF,則艏水尺之改變量計算式為 : ;對於式中之 LPP的下列敘述,何者正確? (A)船舶最大船寬 (B)船舶最深吃水 (C)船舶最大長度 (D)船舶垂標間距
45. 如圖之危險貨標籤,為何種危險貨? (A)爆炸物 (B)易燃固體 (C)易燃液體 (D)易燃氣體
50. 全貨櫃船的完工stowage plan中某櫃紀錄如附圖,該大艙橫寬共可裝14 row,艙深可 裝9 tier,請問因裝載該櫃,在計算貨物所佔空間時,該算幾 TEU? (A)應算4 TEU (B)應算8 TEU (C)應算12 TEU (D)應算16 TEU