所屬科目:教甄◆數學
2. 如下圖,小明將一張色紙對摺之後,使C點與C’點重疊,剪下了一個鈍角 △ABC,並將之展開後得四邊形ACBC’ ,若=16,△ABC的面積為56,則C 點與它的對稱點C’的距離為何?
(A)14 (B)16 (C)18 (D)24
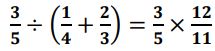
5. 下圖是食神餐廳的價目表,開幕日全面八折,當天香吉士點了黯然銷魂飯後,還 想再點一份x元的餐點,且結帳時兩份餐點的總花費不超過200元,則第二份餐點 可以有幾種選擇? (A)8 (B)7 (C)6 (D)5
8. 等差數列a1,a2,a3,……,an 中, 若a3-a2=-6, 則= ? (A)-132 (B)132 (C)-22 (D)22
9. 屏東國中全校三年級有300人,下圖是該校三年級學生體重的累積相對次數分配折 線圖,則下列敘述何者正確?
(A)體重在 50 公斤以下(不含 50 公斤)的人占 25% (B)體重在 65 公斤以上(含 65 公斤)有 20 人 (C)體重的第 3 四分位數在 65~70 公斤這一組 (D)體重的第 58 百分位數在 55~60 公斤這一組
10. 下圖為某班甲、乙兩組模擬考成績的盒狀圖。若甲、乙兩組模擬考成績的全距分 別為a、b;中位數分別為c、d,則a、b、c、d 的大小關係,下列何者正確?
(A) a<b 且 c<d (B)a<b 且 c>d (C)a>b 且 c>d (D) a>b 且 c<d
12. 下列哪一個數的值最大? (A) (B) (C) (D)
14. 判斷下列何式不正確? (A) (B)(C) (D)
16. 二元一次聯立方程式的解為何? (A) x=2、y=5 (B)x=1、y=2 (C) x=-3、y=1 (D) x=-2、y=5
17. 右圖是由方塊堆疊而成的立體圖形,下列何者是它的前視圖?
(A) (B) (C) (D)
19. 若=k,則下列敘述何者正確? (A) k 是質數 (B) k 是 18 的倍數 (C) k 值大於 1000 (D) k 是奇數
24. 解二元一次方程式 x 2-4x+4=5,則 x 的值為何? (A)−1或5 (B)(C) (D)無解
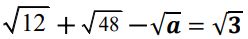
26. 若,則 a 值為多少? (A)57 (B)60 (C)72 (D)75
27. 下表是教務處製作全二年級 250 名學生數學成績的次數分配表,則 60 ~80 分的 人數占二年級人數的百分比是多少%?
(A)20 (B)25 (C)40 (D)45
28. 如圖,△ABC 中,∠BAC=90°,且 長為何?
(A)8 (B) (C) (D)
29. 屏東大學師培班男女生合班上課,已知女生人數比全班人數的 多 9 人,男生人 數比全班人數的 少 13 人,則女生比男生多幾人? (A)4 (B)6 (C)9 (D)10
30. 如圖,平行四邊形 ABCD 中,E 為上的一點,且 交於 F 點,若 = 20, =10,=6, 則=? (A)8 (B)9 (C)10 (D)12
31. 下列何者是 的解? (A)−1 (B)−2 (C) −3 (D) −4
34. 如圖,△ABC 中, ,則 x=?
(A)8 (B)9 (C)10 (D)12
37. 地球的半徑為 6340000 公尺,以科學記號表示為多少公尺? (A) 634✖104(B) 63.4✖104 (C) 6.34✖106 (D) 6.34✖107
38. 偶像劇「犀利人妻」大結局時,女主角安真對男主角瑞凡說:「我再也回不去 了!」,代表男女雙方心中的感情線已是平行的兩直線,則下列哪一個圖形無法 說明兩直線平行? (A) (B) (C) (D)
39. 如圖,垂直平分弦 於 D 點,若=16, 則下列敘述何者錯誤?
(A) =8 (B) =6 (C) =10 (D)
40. 準基將同時乘上一個數後,其結果皆為整數,則所乘的最小正整數 為下 列何者? (A)24 (B)36 (C)60 (D)120