所屬科目:教甄◆資訊科
3. 假設下列程式中 N 值輸入「10000」,請問執行後將會輸出什麼樣的結果? (A) 4 (B) 3 (C) 2 (D) 1
6. 一棵二元樹的第 N 層(在此將樹根 root 視為第 1 層),則最多會有多少個節 點? (A) N (B) 2N (C) (D)
9. 下列程式執行後的輸出結果為何? (A) 4 (B) 5 (C) 6 (D) 7
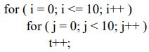
11. 若 t = 0,執行下列程式碼後,t 的值為何? (A) 90 (B) 100 (C) 110 (D) 121
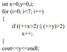
16. 下列程式執行後,輸出之 y 值為何? (A) 2 (B) 3 (C) 4 (D) 5
17. 執行下列程式後,輸出之結果為何? (A) 2 (B) 3 (C) 4 (D) 5
18. 執行下列程式後,輸出之 a 值結果為何? (A) 2 (B) 3 (C) 4 (D) 5
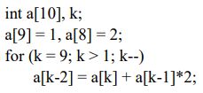
填充題: 1. 執行下列 C / C++程式片段後,a[0]的值為何?
2. =(_________)8。
5. 執行下列程式片段,請問 sum 變數於程式執行後的值為何?
8. 如下圖的河內塔問題中,有 3 個盤子要搬到 C 時,搬移順序為何?