所屬科目:教甄◆資訊科
1. 人工智慧 AI(Artificial Intelligence)與物聯網 IoT(Internet of Things)結合的智慧物聯網(AIoT)能使物聯網具有自我學習、推理、解決問題等能力,這項技術常會採用一種分散式網路架構,將運算資源直接配置到端點設備, 以降低網路流量,並加速運算速度。此運算方式是下列何者? (A) 高效能運算 High Performance Computing (B) 虛擬運算 Virtual Computing (C) 嵌入式運算 Embedded Computing (D) 平行運算 Parallel Computing (E) 邊緣運算 Edge Computing
2. 在一個卷積神經網路(CNN)中,輸入影像大小為 28×28(灰階單通道),通過一個 5×5 的卷積核(filter),不補邊(padding = 0),步幅為 1(stride = 1),且未加入池化層或其他處理。請問此卷積層的輸出影像大小為何? (A) 28 × 28 (B) 27 × 27 (C) 26 × 26 (D) 25 × 25 (E) 24 × 24
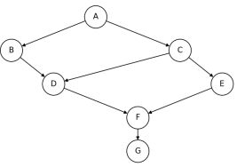
3. 下圖為某資訊系統的工作流程圖,每個節點代表一項工作,箭頭代表先後關係(例如:A → B 表示 A 完成後才能進行 B)。請問下列哪一個是不合法的執行順序? (A) A C E B D F G (B) A C B D E F G (C) A C B E D F G (D) A B C D E F G (E) A B D C E F G
4. 關於網路的敘述,下列何者不正確?(A) 1.0.0.1 是合法的 IP(B) 若 IP 為 192.168.x.x 的電腦都要同網段,其遮罩應設為 255.255.0.0(C) 10.10.1.1 是一個公開 IP,可直接連上網際網路(D) 192.168.1.1 要連線到網際網路,必須透過 NAT 服務(E) 將 IP 轉換成網址的伺服器是 DNS
5. 執行完下列程式後,total 的值為多少?(A)5 (B) 6 (C) 7 (D) 8 (E) -1
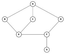
6. 請參考下列無向圖,若從節點 A 開始進行深度優先搜尋(DFS),且每次遇到多個可拜訪的相鄰節點時,請依照字母順序由大到小(G → A)來選擇下一個節點。請問下列哪一個選項為正確的節點拜訪順序? (A) A → B → E → C → D → F → G (B) A → C → E → B → D → F → G (C) A → D → B → C → E → F → G (D) A → D → F → G → E → C → B (E) A → D → F → G → B → E → C
7. 使用 Python 進行人工智慧模型訓練時,若希望建立神經網路架構,並進行深度學習訓練,最適合使用下列那一個模組? (A) matplotlib (B) pandas (C) scikit-learn (D) statsmodels (E) tensorflow
8. 以下 C++ 程式片段中,若要計算陣列 a 自索引 99 後的 100 個元素和,程式碼底線處該填入下列何者?(A) int* ptr = &a[99] (B) int* ptr = a[99] (C) int ptr = &a[99] (D) int &ptr = a[99] (E) int ptr = a[99]
9. 請問程式執行後,ans 輸出為何?(A) 4 (B) 5 (C) 6 (D) 7 (E) -1
10. 請問下列程式的時間複雜度為何?(A) O(n) (B) O(log n) (C) O(n log n) (D) O(n²) (E) O(n² log n)
1. 有一個樹的前序(Pre-order)走訪順序為 ABDEKCFHJ,中序(In-order)走訪為 DBKEAJHFC,請問後序(Post-order) 走訪為何? _____________
2. 若有 12345678 筆已排序好的資料,使用二分搜尋法(Binary Search)搜尋,最差情形下,需進行 ____次資料比較。
3. 線性迴歸(Linear Regression)是一種監督式學習(Supervised Learning)方法,它會使用一條直線,建立輸入特徵 與輸出結果的關係。線性迴歸一般會使用 _________ 用來衡量線性迴歸模型的解釋力,其值越接近 1,表示模型 的解釋力越高。
4. 某系統需排程執行下表所列的五個作業。每個作業皆包含到達時間與執行時間。請依照「最短作業優先排程(SJF, Shortest Job First)— 非搶佔式(Non-preemptive)」進行排程,計算這些作業的平均等待時間為何?_____________
5. 若有一有圖的鄰接矩陣如下,A 點到 B 點之最短距離為 ___________。
6. 請問下列 C 語言程式,執行完後,c 的值為何?_____________
7. 某程式使用一個佇列 Q(Queue)與一個堆疊 S(Stack)來處理資料,執行下列操作:(1) 將整數 1, 2, 3 依序加入佇列 Q(enqueue)。 (2) 從 Q 中取出兩個元素(dequeue),並依序 push 至堆疊 S。(3) 將整數 4, 5 依序加入佇列 Q。(4) 再從 Q 中取出兩個元素(dequeue),並依序 push 至堆疊 S。(5) 從堆疊 S 中取出(pop)一個元素並印出。請問:印出的數字為何?_____________
8. 以下 fib() 函式會回傳費式數列(Fibonacci sequence)第 n 項的值,計算 fib(5) 時,共會呼叫 fib() 函式 ____次。
9. 有一個 C Class 網域,要分成 32 個子網路,此網路的遮罩應設為 ________________。
10. 以下 Python 程式輸出結果為 __________。
1. 小麗希望參加一系列學術演講活動,但每場活動時間不能重疊。以下是各場活動的開始與結束時間:請完成以下程式實作,幫小麗計算最多可參加的場數。(每小題 2 分,共 10 分)
2. 請回答以下問題:(每小題 5 分,共 10 分)(1) 請以「使用 1 * 2 的骨牌填滿 2 * n 的格子,共有幾種排法」為例,說明何謂動態規劃。
(2) 請將上面的例子撰寫成遞迴結構的程式碼。