所屬科目:鋼筋混凝土學與設計
二、有一鋼筋混凝土小梁,矩形梁斷面寬度b=25cm,有效深度d=34.3cm。 梁承受彎矩,故設計三支D16拉力鋼筋,設計的鋼筋降伏強度=4200kgf/cm2。一支D16拉力鋼筋截面積=1.99cm2。惟於施工時誤用一支降伏強度=2800kgf/cm2的鋼筋,如圖所示。混凝土抗壓強度=280kgf/cm2。試計算誤用鋼筋後梁斷面的設計彎矩強度ϕMn為何?
三、圖示為鋼筋混凝土單獨T型梁的斷面。梁配置雙層排列的五支D25拉力鋼 筋。梁斷面將承受設計剪力Vu=30tf,配置D13閉合矩形剪力鋼筋,剪力鋼筋之淨保護層為4cm。混凝土抗壓強度=280kgf/cm2,剪力鋼筋降伏 強度=2800kgf/cm2。試計算剪力鋼筋配置的最大間距為何? D13鋼筋之直徑=1.27cm,截面積=1.27cm2。 D25鋼筋之直徑=2.54cm,截面積=5.07cm2。
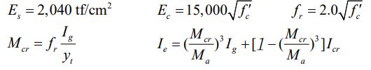
四、有一鋼筋混凝土簡支梁,跨度6m。梁斷面為中空斷面如圖所示,中空 斷面尺寸為25cm50cm,有效深度d=73.3cm。簡支梁全跨承受均佈 工作靜載重=2.7tf/m(含自重)與活載重=3.0tf/m。梁全跨度皆 配置四支D29拉力鋼筋,鋼筋降伏強度=4200kgf/cm2。混凝土抗壓 強度=280kgf/cm2。一支D29鋼筋之截面積為6.47cm2。試計算梁承受所有工作載重時跨度中點的瞬時撓度。參考公式:承載均佈載重之簡支梁,其跨度中點之撓度為