所屬科目:研究所、轉學考(插大)-微積分
2. Find the limit
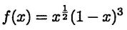
4. Find the maximum value of on the closed interval [0, 1].
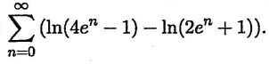
5. Find the limit
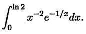
6. Evaluate the integral
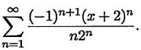
8. Find the radius of convergence of the power series
(a)(6分)
(b)(6分)
3. Sketch the region of integration and evaluate the integral dxdy.