所屬科目:控制系統
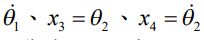
(一)若狀態變數定義成 x1 = θ1 - θ 2 、 x2 =,系統輸入為 u =F 以 及 系 統 輸 出 為 y =θ 2 。 推 導 求 出 此 系 統 之 狀 態 方 程 式 = AX + Bu 及輸出方程式 y = CX ,其中 X = [ x1 x2 x3 x4 ]T 。求 A、 (10 分) B (3 分)及 C 。(2 分)
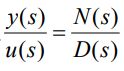
(二)推導求出此系統之轉移函數 ,求 N ( s ) 及 D( s) 。(各 5 分,共 10 分)
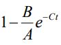
二、一系統之轉移函數表示成 ,其中 。推導求出此系統之步階響應(Step response)y (t ) ,若 y(t ) = cos( Dt + E ), A 求 A、 B 、 C 、D 及 E。(各 5 分,共 25 分)
(五)在(三)之前提下,分別推導求出穩態誤差信號值,若 R、 。 (各 2 分,共 6 分)
(一)依奈奎斯特圖法繪製此回授系統之奈奎斯特圖(Nyquist plot),其中 K≥ 0 。(12 分)