所屬科目:教甄◆數學
1. 今投擲一公正骰子三次,在前兩次點數和等於第三次之點數的情況下,試問至少出現一個3的機率是多少? (A)(B) (C)(D)
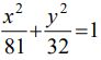
2. 已知 F1、F2 為橢圓之二焦點,為過F1之一焦弦,若ΔABF2的面積為 32,則之長為下列哪一個選項? (A) 16 (B) 20 (C) 24 (D) 36
3. 矩陣經矩陣列運算後可化簡得,試求a+b+c之值為下列哪一個選項? (A) 0 (B) 1 (C) 3 (D) 5
4. 設A=,試求使得的最小正整數 n 。 (A) 12 (B) 18 (C) 24 (D) 36
5. 如下圖,ABCDEF為一正六邊形,O為正六邊形的中心點。試問會是 ∆OAB面積的幾倍? (A) 1倍 (B) 2倍 (C) 3倍 (D) 4倍
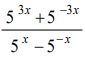
9. 設,求之值為下列哪一個選項? (A) 5 (B) (C) (D)
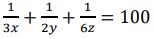
10. Let and x, y, z > 0. What is the minimum value of 2logx + 3logy + logz? (A) 12 (B) 6 (C) −6 (D) −12
14. 已知四邊形 ABCD 的外接圓半徑為 2,且,試求長度? (A)(B)(C)(D)4
15. Suppose that △ ABC is an equilateral triangle of side length s, with the property that there is a unique point P inside the triangle such that . What is the value of ?? (A)(B)(C) 8 (D)
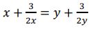
16. 設 x、y 均為非零相異實數且滿足之關係式,試問 xy 之值為何? (A)(B)(C) 2 (D) 3
17. 設無窮等比級數之和為S,且其前n項之和為Sn。 若,則n的最小值為何? (已知log20.3010) (A) 5 (B) 6 (C) 7 (D) 8
18. 有關極限的敘述,下列何者正確? (A) 極限值不存在 (B) 極限值為0 (C) 極限值為7 (D) 極限值為12
19. 設坐標平面上兩點 A(3, −2) 與 B(−3, 1) 在直線 2x + ky − 2 = 0 的同側,求 k 的範圍? (A) k > 2或k < (B) k > 8或k < (C) 2 < k < 8 (D)