阿摩線上測驗
登入
首頁
>
研究所、轉學考(插大)-微積分
> 112年 - 112 國立嘉義大學_轉學生招生考試試題:微積分#123297
112年 - 112 國立嘉義大學_轉學生招生考試試題:微積分#123297
科目:
研究所、轉學考(插大)-微積分 |
年份:
112年 |
選擇題數:
0 |
申論題數:
10
試卷資訊
所屬科目:
研究所、轉學考(插大)-微積分
選擇題 (0)
申論題 (10)
1. 求
=?
2. 已知 y
2
= x
2
+ sin(xy),求
=?
3. 設y =
,求
=?
4. 已知f(x) =
,1 ≤ x ≤ 4,求函數圖形的弧長長度(Arc Length)。
5. 求
=?
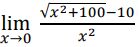
6. 求
=?
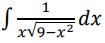
7. 求
=?
8. 設f(x)=x
4
+3x
3
y+4x
2
y
2
+y
5
,求梯度向量∇f(x) =?
9. 設集合D= {(x, y): 0 ≤ y ≤ 1,y ≤ x ≤ 2y},求
=?
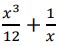
10. 求
=?
相關試卷
113年 - 113 國立嘉義大學_轉學生招生考試試題_(全校):微積分#122986
113年 · #122986
112年 - 112 國立臺灣大學_碩士班招生考試題:微積分(D)#130254
112年 · #130254
112年 - 112 國立陽明交通大學_碩士班入學招生試題_統計學研究所﹕微積分與線性代數#130252
112年 · #130252
112年 - 臺灣綜合大學系統112 學年度學士班轉學生聯合招生考試試題 微積分A#120563
112年 · #120563
112年 - 112 臺灣聯合大學系統(清華、陽交、中央 聯招)學士班轉學生考試_A3、A4、A6理工組:微積分#117689
112年 · #117689
112年 - 112 臺灣聯合大學系統(清華、陽交、中央三校聯招)學士班轉學生考試_A2商管組:微積分#117687
112年 · #117687
112年 - 112 國立高雄師範大學轉學生招生考試試題_電子工程學系二年級:微積分#116290
112年 · #116290
112年 - 112 國立高雄師範大學_轉學生招生考試試題_電機工程學系二年級:微積分#116289
112年 · #116289
111年 - 111 國立臺北大學_轉學生招生考試試題_經濟學系二年級:微積分#117728
111年 · #117728
111年 - 111 國立臺北大學_轉學生招生考試試題_統計學系二年級:微積分#117717
111年 · #117717