所屬科目:工程數學(應用數學, 線性代數、微分方程、複變函數與機率)
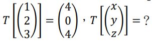
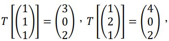
一、T 是 R3到 R3的線性轉換, (20 分)
二、求解二階微分方程y"(t)+4y'(t)+3y(t)=3δ(t-2),y(0)=0,y'(0)=0 ,其中δ(t)為脈衝函數。(20 分)
三、利用史托克定理(Stokes' Theorem)計算封閉曲線積分為位置向量(position vector),C 為x2+y2+z2=1,z≥0 半球表面之邊界曲線。(20 分)
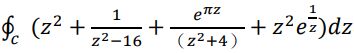
四、請計算複變積分之值,C 為複數平面上 |z| = 3逆時鐘方向之圓。(20 分)
五、X 和 Y 為連續隨機變數,其聯合分布機率密度函數fXY(X,Y)=,求條件期望值E[X|Y=y] =?(20 分)