所屬科目:教甄◆電腦科專業
9. 若網頁輸出結果如下圖的血型選擇,則最適合使用下列何項 HTML 標籤? (A) input type = " button " (B) input type = " radio " (C) input type = " checkbox " (D) input type = " circle "
18. 創用CC 沒有以下哪一項? (A)(B)(C)(D)
2. 有一圖形如下(圖1),欲讓所有節點均能相互連接,其連線的最低成本為多少?
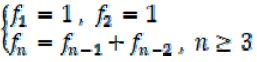
5. 費氏數列(Fibonacci數列) 的前兩項f1、f2的值都是1,且滿足第 項恆等於前兩項的和,即 。 請依據上述的數列說明,以C語言完成費式數列FIB函數的遞迴程式碼,並計算出 FIB(9)的結果。
9. 表1為台北市無障礙友善店家的Open Data資料,經資料清理後,「地址」欄位均顯示為「臺北市XX區…」,請以SQL語法統計出各行政區的無障礙友善店家數,並依數量多寡依序遞減排序,店家數相同時,則以行政區筆劃遞增排序。(部分參考結果如表2)
(4)
(5)