所屬科目:教甄◆數學
2. 方程式2x2 + xy + y2 = 2的圖形通過點(1, −1)的切線方程式為何? (A) y = (B) y = (C) y =2x-3(D) y =3x-4
3. 設函數f(x) =,則導數f′(2)之值為何? (A) 4 (B) 6 (C) 1 + ln 2 (D) 4(1 + ln 2)
4. 下列關於積分的算式,何者正確? (A)(B)(C)(D)
5. 正實數數列 〈an〉滿足遞迴關係式,求的值為何? (A) 2400 (B) 2401 (C) 2500 (D) 2501
6. 冪級數(power series)的收斂半徑為何? (A) (−3,3) (B) (−3,3] (C) [−3,3) (D) [−3,3]
7. 設D= {(x, y)|0 ≤ x ≤ y ≤ 1},∬D (x + y)dA ? 之值為何? (A)(B) 1 (C)(D)
11. 兩個級數 。下列選項何者正確? (A) A 和 B 皆收斂 (B) A 收斂,B 不收斂 (C) A 不收斂,B 收斂 (D) A 和 B 皆不收斂
12. 若(實數),且 f(x): A →R。甲:若 f(x)為一連續函數且有反函數 f–1(x),則 f–1(x) 也必為連續。乙:若 f(x)為一可微函數且有反函數f–1(x),則 f–1(x)也必可微。有關甲、乙兩推論,下列選項何者正確?(A)甲和乙皆正確 (B)甲正確,乙不正確 (C)甲不正確,乙正確 (D)甲和乙皆不正確
13.求 y =的微分。 (A) (B) (C)(D)
14.= (A) 1 (B) 0 (C) e (D)
15.函數 f(x,y) = x·y,在=1 的極大值為何? (A) 4 (B) 3 (C) 2 (D) 1
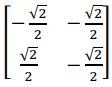
16.下列哪一個二階矩陣所代表的線性變換其幾何意義為 “先繞原點逆時針轉45°,再以 x 軸為對稱軸做鏡射” ? (A)(B)(C)(D)
17.下列哪一個二階方陣,其所有的 eigenvalues 都是正整數? (A)(B)(C)(D)
22. 設Rn(x)表示函數f的泰勒級數之n次餘項,下列關於泰勒級數(Taylor series)的敘述,何者正確? (A)每一個函數的泰勒級數都存在 (B)函數f的泰勒級數一定會收斂 (C)當= 0時函數f的泰勒級數收斂到函數f (D)當存在時函數f的泰勒級數收斂到函數f
23. 正七邊形 ABCDEFG 的邊長為 2,則向量AB與向量BE的內積的值為何? (A)(B) −3 (C)(D) −2
24. 設α為不超過 45° 的銳角。若已知 cot 2α −= sec α,則α的大小為何? (A) 10° (B) 20° (C) 30° (D) 40°
25 設複數 z 滿足 |z2 + 1| = |z|,則 |z| 的最大值為何? (A)(B)(C)(D)