所屬科目:微處理機
17.布林代數表示式 F(A,B,C)=,化簡後下列何者正確? (A) F(A,B,C)= (B) F(A,B,C)= (C) F(A,B,C)= (D) F(A,B,C)=
19.布林代數表示式同等於下列何式? (A)(B)(C)(D)Σ(0,2,4)
20.若F(A,B)=,下列何者正確? (A)A=0,B=0,則F=0 (B)A=0,B=1,則F=1 (C)A=1,B=0,則F=0 (D)A=1,B=1,則F=0
21.二進制轉換成十進制數字為何? (A) (B) (C) (D)
23.一組4對16的解碼器,其輸出為,若Q9輸出為1(有效狀態),則輸入信號為何? (A)1000 (B)1001 (C)1100 (D)1101
28.關於下列C++程式的執行結果,何者正確?(A)9 (B)12 (C)41 (D)81
29.下列程式執行後的輸出結果為何?(A)A=12,B=0 (B)A=12,B=3 (C)A=15,B=0 (D)A=15,B=2
30.執行下列程式時,螢幕上輸入和輸出的結果何者正確? (A) (B) (C) (D)
31.若x=5,y=15,下列運算式何者為真(True)? (A)(x==y/3)&&(y%x==3) (B)!(x<y)&&(y==x+10) (C)(x>y)||(x&y==5) (D)(x+10!=y)||(x%y==0)
32.下列C++程式的執行結果,何者正確?(A)x=4 (B)x=5 (C)x=6 (D)x=7
33.下列C++程式的執行結果,何者正確?(A)a=10,f=3.00 (B)a=10,f=4.00 (C)a=11,f=2.75 (D)a=11,f=3.67
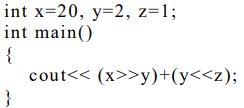
34.下列C++程式的執行結果x+y+z為何?(A)17 (B)18 (C)21 (D)22
35.於下列空格列_______依序填入兩行適當的程式碼,使得此C++程式的執行結果為13579。 (A) (B) (C) (D)
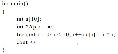
36.若下列C++程式的執行結果為25,則空格_______中應填入的程式碼為何?(A)*(Aptr+5) (B)a[4] (C)&a[5] (D)&(Aptr+4)
37.下列C++程式的執行結果,何者正確?(A)1656 (B)36512 (C)3456 (D)361512
38.下列程式碼為C++程式Rectangle類別(Class)的宣告和定義,則有關Rectangle物件的宣告及使用哪一項是錯誤? (A)cin>>rect.x>>rect.y; (B)Rectanglerect1; (C)rect.set(12,5); (D)cout<<"AreaofRectangle:"<<rect.area();
39.下列C++程式的執行結果,何者正確?(A)12345 (B)15234 (C)51234 (D)54321
40.下列C++程式的執行結果,何者正確? (A)123 90 A (B)456 79 B (C)456 90 A (D)789 79 B