阿摩線上測驗
登入
首頁
>
技檢◆測量-丙級
> 113年 - 04200 測量 丙級 工作項目 04:角度測量(含光學式、電子式經緯儀)1-50#20025
113年 - 04200 測量 丙級 工作項目 04:角度測量(含光學式、電子式經緯儀)1-50#20025
科目:
技檢◆測量-丙級 |
年份:
113年 |
選擇題數:
50 |
申論題數:
0
試卷資訊
所屬科目:
技檢◆測量-丙級
選擇題 (50)
1. 設度盤最小格為 20',游標共刻有 40 格,則其最小讀數為 (A)20"(B)30"(C)40"(D)60"。
2. 如果觀測三測回,則每一測回開始時,水平角度盤應分別對 (A)0°、60°、120°(B)0°、45°、90°(C)0°、90°、180°(D)0°、 120°、240°。
3. 經緯儀定平用之踵定螺旋共有 (A)1個(B)3個(C)5個(D)7個。
4. 經緯儀望遠鏡之縱轉就是望遠鏡繞 (A)視準軸(B)直立軸(C)水準軸(D)水平軸(或稱橫軸) 之迴轉。
5. 一方向線之方位角與其反方位角相差 (A)45°(B)90°(C)180°(D)270°。
6. 在一點設站用經緯儀觀測數個方向之水平角時,最便捷之觀測方法為 (A)複測法(B)內角法(C)外角法(D)方向觀測 法。
7. 在導線點觀測水平角時,測讀一測線之延長線與次一測線之夾角稱為 (A)內角(B)外角(C)偏角(D)方位角。
8. 能直接顯示觀測之水平角、垂直角、平距、斜距等數值,且能自動記錄者為 (A)光學經緯儀(B)複測經緯儀(C)羅 盤經緯儀(D)電子測距經緯儀(全測站儀)。
9. 方位角 300°改為方向角為 (A)W30°N(B)N120°W(C)S120°N(D)N60°W。
10. 利用望遠鏡正倒鏡觀測水平角度可消除儀器 (A)水準軸誤差(B)直立軸誤差(C)度盤刻劃不均勻誤差(D)視準軸偏心 誤差。
11. 光學垂準器(對點器)之用途是 (A)定心(B)定平(C)量儀器高(D)讀定度盤。
12. 精度較高之經緯儀其度盤讀數設備多採用 (A)游標(B)光學分微尺(C)單線放大鏡(D)光學測微器。
13. 用經緯儀正鏡觀測某點天頂距讀數為 92°34'10",倒鏡讀數為 267°25'40",則其垂直角為 (A)仰角2°34'10"(B)仰角2°34'15"(C)俯角2°34'10"(D)俯角2°34'15"。
14. 在 A 點整置經緯儀觀測水平角,依次照準 B、C、D 點,其度盤讀數分別為:0°0'10"、15°21'03"、51°17'20",則 ∠CAD 之水平角為 (A)15°20'53"(B)35°56'17"(C)51°17'10"(D)66°38'23"。
15. 用經緯儀觀測水平角,雖採行正倒鏡觀測讀數之中數,仍不能消除 (A)視準軸誤差(B)水平軸誤差(C)直立軸誤差 (D)視準軸偏心差。
16. 經緯儀懸吊垂球之線,應與 (A)直立軸(B)視準軸(C)水平軸(D)水準軸 成一直線。
17. 在 A 點向 B 點實施三角高程測量,A 點之儀器高為 i,AB 之水平距離為 D,B 點之覘標高為 Z,觀測之垂直角 為 α,則 AB 兩點之高程差為 (A)D.tanα+i+Z(B)D.tanα+i-Z(C)D.tanα-i-Z(D)D.tanα-i+Z。
18. 在我國計算某一測線之方位角,一般係自子午線之 (A)東(B)西(C)南(D)北 端為零度起算,順時針方向量至該測 線之角度。
19. 用經緯儀觀測角度,導致直立軸不正直之原因為 (A)儀器構造誤差(B)定平不實誤差(C)觀測誤差(D)自動現象誤差。
20. 普通經緯儀之水平度盤裝有二個游標,二游標之零線(指標線)相距為 (A)45度(B)90度(C)180度(D)270度。
21. 天頂水準器為測量下列何者之基準? (A)水平角(B)垂直角(C)方位角(D)視距測量。
22. 經緯儀過望遠鏡十字絲中心與物鏡光學中心之連線,稱為 (A)水平軸(B)直立軸(C)視準軸(D)水準軸。
23. 使經緯儀中心與地面測站中心一致之動作,是為 (A)定平(B)定心(C)對焦(D)定平與對焦。
24. 為減少因度盤分劃刻製不勻之誤差,通常於水平角觀測時 (A)正倒鏡取平均(B)二游標讀數取平均值(C)在零方向 (原方向)變換度盤位置,測n 組取平均 (D)增加測回數取平均值。
25. 整置經緯儀時,已大約定心定平後,再逐步修正 (A)定心後再定平(B)定平後再定心(C)定心即可(D)定平即可。
26. 游標 60 格等於度盤 59 格,游標最小讀數為 20",則度盤一格應為 (A)10'(B)20'(C)30'(D)40'。
27. 為測算未知點高程且能自動改正地球曲率及折光差,可採用何種方法觀測垂直角? (A)偏角法(B)方向觀測法 (C)對向觀測法(D)反覘觀測法。
28. 使用天頂距式垂直度盤經緯儀,測得正鏡讀數為 92°35'40",倒鏡讀數為 267°24'30",則垂直角(俯仰角)為 (A)2°35'35"(B)-2°30'40"(C)-2°35'35"(D)2°30'40"。
29. 經緯儀望遠鏡正倒鏡之水平角讀數之差應為 (A)0°(B)90°(C)180°(D)270°。
30. 以經緯儀測得某一方向之俯角為 10°,則其天頂距為 (A)80°(B)100°(C)110°(D)120°。
31. 設直線 AB 之磁方向角讀數為 N30°E,當時之磁偏角是 2°W,若數年後該地區之磁偏角是 1°E,則直線 AB 之磁 方向角讀數為 (A)N27°E(B)N29°E(C)N31°E(D)N33°E。
32. 複測經緯儀又名 (A)方向經緯儀(B)光學經緯儀(C)雙軸經緯儀(D)單軸經緯儀。
33. 水平度盤之周邊刻有 0°至 360°,此圓盤稱為 (A)下盤(B)上盤(C)中盤(D)內盤。
34. 望遠鏡已經大約照準目標後,欲精確照準目標之步驟為(A)目鏡調整→調焦透鏡調整→方向標定(B)調焦透鏡調整→目鏡調整→方向標定(C)方向標 定→調焦透鏡調整→目鏡調整(D)目鏡調整→方向標定→調焦透鏡調整。
35. 經緯儀之視準軸與水平軸不垂直時,可以二次縱轉法校正之,其改正量為誤差的 (A)1/2(B)1/3(C)1/4(D)1/5。
36. 方位角 260°改為方向角為 (A)N60°E(B)S30°E(C)S80°E(D)S80°W。
37. 方位角 222°,其反方位角為 (A)132°(B)310°(C)42°(D)222°。
38. 以經緯儀測得某一方向之天頂距為 100°,則其垂直角(俯仰角)為 (A)-10°(B)+10°(C)-80°(D)+80°。
39. 游標一分劃較主尺之一分劃短者,稱為 (A)順讀游標(B)逆讀游標(C)複游標(D)單游標。
40. 以主尺(N-1)格之長在游標上等分為 N 格,稱為 (A)順讀游標(B)逆讀游標(C)單游標(D)複游標。
41. 經緯儀之下盤不能隨照準架旋轉者為 (A)複測經緯儀(B)游標經緯儀(C)羅盤經緯儀(D)方向經緯儀。
42. 自望遠鏡中觀測遠方一目標,其經過十字絲交點及物鏡主點之連線,稱為 (A)水平軸(B)水準軸(C)直立軸(D)視準 軸。
43. 下列角度記簿何者正確? (A)135°5'5"(B)135°5'05"(C)135°05'05"(D)135°05'5"。
44. 使用經緯儀觀測時,常以望遠鏡之正鏡位置及倒鏡觀測,此種操作名為 (A)橫轉(B)縱轉(C)二次縱轉(D)前視。
45. 經緯儀之水準軸與直立軸是否垂直之檢校方法,稱為 (A)半半校正法(B)一次反轉法(C)二次反轉法(D)木樁校正法。
46. 若兩方向角為 S30°40'W,S50°55'W,則其夾角為 (A)20°15'(B)80°05'(C)20°25'(D)40°42'25"。
47. 沿磁子午線起算之方位角稱為 (A)真方位角(B)磁方位角(C)真方向角(D)磁方向角。
48. AB 方向的磁方位角讀數為 89°,真方向角為 S89°E,則磁偏角為 (A)偏東1°(B)偏西1°(C)偏東2°(D)偏西2°。
49. 經緯儀四軸分別為直立軸 V、水平軸 H、水準軸 L 和視準軸 Z,施行校正時,應先使 (A)H⊥V(B)Z⊥L(C)L⊥V(D)Z//H。
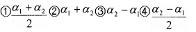
50. 觀測垂直角(俯仰角)時,儀器為象限式度盤,α1表正鏡測得之垂直角,α2表倒鏡測得之垂直角,若此儀器垂 直度盤有指標差,則等於
之絕對值。
申論題 (0)
相關試卷
114年 - 04200 測量 丙級 工作項目 08:測量基本準則 1-31(2025/10/27 更新)#132634
114年 · #132634
114年 - 04200 測量 丙級 工作項目 07:儀器之一般保養與維護 1-36(2025/10/27 更新)#132633
114年 · #132633
114年 - 04200 測量 丙級 工作項目 06:埋石設標 1-20(2025/10/27 更新)#132632
114年 · #132632
114年 - 04200 測量 丙級 工作項目 05:基本繪圖 51-71(2025/10/27 更新)#132631
114年 · #132631
114年 - 04200 測量 丙級 工作項目 05:基本繪圖 1-50(2025/10/27 更新)#132630
114年 · #132630
114年 - 04200 測量 丙級 工作項目 04:角度測量(含光學式、電子式經緯儀) 151-178(2025/10/27 更新)#132629
114年 · #132629
114年 - 04200 測量 丙級 工作項目 04:角度測量(含光學式、電子式經緯儀) 101-150(2025/10/27 更新)#132628
114年 · #132628
114年 - 04200 測量 丙級 工作項目 04:角度測量(含光學式、電子式經緯儀) 51-100(2025/10/27 更新)#132627
114年 · #132627
114年 - 04200 測量 丙級 工作項目 04:角度測量(含光學式、電子式經緯儀) 1-50(2025/10/27 更新)#132626
114年 · #132626
114年 - 04200 測量 丙級 工作項目 03:高程測量 101-162(2025/10/27 更新)#132625
114年 · #132625