所屬科目:技檢◆測量-丙級
1. 研究地圖內容的表現形式之學科或技術稱為 (A)地圖製印 (B)地圖編製 (C)地圖整飾 (D)地圖投影。
2. 每個人日常生活皆會產生垃圾,下列何種處理垃圾的觀念與方式是不正確的? (A)垃圾分類,使資源回收再利用 (B)所有垃圾皆掩埋處理,垃圾將會自然分解 (C)可燃性垃圾經焚化燃燒可有效減少垃圾體積 (D)廚餘回收堆肥後製成肥料。
3. 有關著作權的下列敘述何者錯誤? (A)在網路的部落格看到一篇文章很棒,只要註明出處,就可以把文章複製在自己的 部落格 (B)在網路散布盜版光碟,不管有沒有營利,會構成侵害著作權 (C)將補習班老師的上課內容錄音檔,放到網路上拍賣,會構成侵害著作權 (D)撰寫碩博士論文時,在合理範圍內引用他人的著作,只要註明出處,不會構成侵害著作權。
4. 下列哪一項是我們在家中常見的環境衛生用藥? (A)殺蟲劑 (B)洗滌劑 (C)體香劑 (D)乾燥劑。
5. 電子測距儀上所測得之距離,在未化算前為兩點間之 (A)海水面距離 (B)水平距離 (C)傾斜距離 (D)垂直距離。
6. 已知兩點實際距離為 59.960m,今使用 30m 鋼捲尺量得該段距離為 60.000m,則該尺之實際長度為 (A)29.980m(B)31.02m (C)28.980m (D)30.020m。
7. 下表為測站 B 對測點 A、C 做水平角之紀錄,則∠ABC 為 (A)125°10'10" (B)125°10'15" (C)125°10'20" (D)125°10'25"。
8. 電子測距儀中,電子系統顯示器乃屬於 (A)反射器 (B)附屬配件 (C)接收器 (D)控制器。
9. 與公務機關接洽業務時,下列敘述何者「正確」? (A)口頭允諾行賄金額但還沒送錢,尚不構成犯罪 (B)唆使公務機關承辦採購人員配合浮報價額,僅屬偽造文書行為 (C)與公務員同謀之共犯,即便不具公務員身分,仍可依據貪污治罪條例處刑 (D)沒有要求公務員違背職務,花錢疏通而已,並不違法。
10. 電子測距之標準誤差,常以(a+b‧ppm)形式表示之,而 ppm 係表示所量距離之多少? (A)十萬分之一 (B)一百萬分之一(C)一千萬分之一 (D)一萬分之一。
11. 距離測量時,以同一量測系統重複觀測同一段距離,由其重複觀測計算出之標準偏差與距離平均值的比值,屬於下列何種精度表示方式? (A)相對精度 (B)絕對精度 (C)平均精度 (D)傳播精度。
12. 下列何者為經緯儀所具有的基本功能:a.測定水平角;b.測定垂直角;c.視距測量;d.測定真方位角;e.測定延長線;f. 測定高程值 (A)ace (B)abe (C)bcd (D)adf。
13. 所謂營業秘密,係指方法、技術、製程、配方、程式、設計或其他可用於生產、銷售或經營之資訊,但其保障所需符合的要件不包括下列何者? (A)因其秘密性而具有實際之經濟價值者 (B)一般涉及該類資訊之人所知者 (C)因其秘密性而具有潛在之經濟價值者 (D)所有人已採取合理之保密措施者。
14. 以水準儀觀測標尺時,若目標成像不清晰,應調整 (A)物鏡調焦螺旋 (B)目鏡調焦螺旋 (C)十字絲校正螺絲 (D)光軸。
15. 一台尺約等於 (A)30.48 公分 (B)100.00 公分 (C)33.00 公分 (D)30.30 公分。
16. 在傾斜地區實施直立尺式視距測量,必須使標尺 (A)垂直望遠鏡 (B)稍向前傾 (C)直立 (D)稍向後傾。
17. 有關望遠鏡之用法,下列何者正確? (A)先調整物鏡調焦螺旋使十字絲清晰,再調整目鏡調焦螺旋使物像清晰 (B)先調整 目鏡調焦螺旋使物像清晰,再調整物鏡調焦螺旋使十字絲清晰 (C)先調整目鏡調焦螺旋使十字絲清晰,再調整物鏡調焦螺旋使物像清晰 (D)先調整物鏡調焦螺旋使物像清晰,再調整目鏡調焦螺旋使十字絲清晰。
18. 測量儀器在搬運途中,首應注意何種事項? (A)防震 (B)防潮 (C)防曬 (D)防銹。
19. 漏電影響節電成效,並且影響用電安全,簡易的查修方法為 (A)電氣材料行買支驗電起子,碰觸電氣設備的外殼,就可查出漏電與否 (B)用三用電表檢查 (C)用手碰觸就可以知道有無漏電 (D)看電費單有無紀錄。
20. 以全測站經緯儀量測 A、B 點間斜距,得其距離為 321.223m;如測得垂直角為 5°00'00",若忽略海平面歸化改正,則 AB 間水平距離為何? (A)320.001m (B)322.450m (C)293.120m (D)27.996m。
21. 我國所用水準標尺之分劃長度採用 (A)公尺制 (B)市尺制 (C)英呎制 (D)台尺制。
22. 勞工為節省時間,在未斷電情況下清理機臺,易發生危害為何? (A)墜落 (B)捲夾感電 (C)崩塌 (D)缺氧。
23. 對於依照個人資料保護法應告知之事項,下列何者不在法定應告知的事項內? (A)蒐集機關的負責人姓名 (B)蒐集之目的(C)個人資料利用之期間、地區、對象及方式 (D)如拒絕提供或提供不正確個人資料將造成之影響。
24. 某水準環線包含等距離之 A、B、C 三點,已知 A 點高程 HA=31.234m。進行逐差水準測量後得各測段往返測平均高程差分別為 △HAB=2.345m、 △HBC=3.468m、 △HCA=-5.801m,則改正後高程差△H'CA等於 (A)-5.802m (B)-5.805m (C)-5.804m (D)-5.803m。
25. 假設水準管軸垂直於直立軸,調整水準器水平,必須使水準器內之氣泡 (A)偏左端 (B)偏右端 (C)固定不動 (D)居中。
26. 測量精度與標準誤差成何種關係? (A)相等 (B)反比 (C)對比 (D)正比。
27. 依據二個已知點的平面坐標值,即可計算得此兩點間的 (A)垂直距離 (B)傾斜距離 (C)圓弧長度 (D)水平距離。
28. 正鏡讀數為 101°18'37",倒鏡讀數為 258°41'13",試問其垂直角為 (A)11°17'42"(仰角) (B)-11°17'42"(俯角)(C)11°18'42"(仰角) (D)-11°18'42"(俯角)。
29. 經緯儀縱角指標差之消除方法為 (A)半半改正校正之 (B)雙高鏡法校正之 (C)二次縱轉法校正之 (D)正倒鏡觀測取平均。
30. 測量時,由於溫度變化、大氣折光及氣候關係等所造成之誤差,是為 (A)人為誤差 (B)自然誤差 (C)必然誤差 (D)儀器誤差。
31. 水準測量之閉合差容許值與 (A)距離平方成反比 (B)距離平方根成正比 (C)距離平方根成反比 (D)距離平方成正比。
32. 依據內政部頒訂數值法地籍圖重測手冊規定,以衛星定位測量辦理加密控制測量選點時,點位應平均分布於全測區,至少每平方公里幾點為原則? (A)2 點 (B)1 點 (C)3 點 (D)4 點。
33. 所謂兩點間之距離,一般係指兩點間之 (A)垂直距離 (B)水平距離 (C)傾斜距離 (D)直線距離。
34. 下列何種行為對生態環境會造成較大的衝擊? (A)引進外來物種 (B)設立自然保護區 (C)種植原生樹木 (D)設立國家公園。
35. 方位角 260°改為方向角為 (A)N60°E (B)S80°E (C)S80°W (D)S30°E。
36. 地圖上"字列註記"之字列中心線與圖廓線傾斜者,稱為 (A)屈曲字列 (B)雁行字列 (C)平行字列 (D)垂直字列。
37. 下列關於經緯儀各主軸相互應有之幾何關係,何者錯誤? (A)水準軸須垂直於直立軸 (B)視準軸須垂直於直立軸 (C)橫軸須垂直於直立軸 (D)視準軸須垂直於橫軸。
38. 誤差的來源有 (A)人為誤差、自然誤差 (B)儀器誤差、人為誤差、自然誤差 (C)儀器誤差、自然誤差 (D)儀器誤差、人為誤差。
39. 應用方向觀測法觀測水平角,若作多測回觀測時,每測回均須變換度盤,其目的在於消除何種誤差? (A)橫軸誤差 (B)視準軸誤差 (C)直立軸誤差 (D)度盤分劃誤差。
40. 以二個已知點為測站,分別整置經緯儀照準未知點,以交會法求得該未知點之點位,稱為 (A)前方交會法 (B)後方交會法(C)雙點定位法 (D)側方交會法。
41. 中線水準測量為沿路線中心測定全線地形起伏狀態者,亦稱 (A)支線水準測量 (B)本線水準測量 (C)橫斷面水準測量 (D)縱斷面水準測量。
42. 水準測量之轉點位置應選擇於 (A)水溝蓋 (B)堅實凸出地點 (C)人孔蓋 (D)平坦鬆軟地點。
43. 直接水準測量時,後、前視之距離保持相等,仍無法消除下列何項誤差? (A)地球曲率誤差 (B)視準軸誤差 (C)直立軸傾斜誤差 (D)大氣折光差。
44. 溫室氣體易造成全球氣候變遷的影響,下列何者不屬於溫室氣體? (A)氫氟碳化物(HFCs) (B)二氧化碳(CO2) (C)甲烷 (CH4) (D)氧氣(O2)。
45. 工程水準儀之水準器靈敏度約為 (A)0.1"/2 ㎜~1"/2 ㎜ (B)1"/2 ㎜~5"/2 ㎜ (C)20"/2 ㎜~30"/2 ㎜ (D)5"/2 ㎜~10"/2 ㎜。
46. 儀器箱除了堅固、外觀鮮明之外,還需要滿足一些要求,其中何種功能最不易滿足? (A)外殼鎖扣附設保險裝置 (B)完全防潮 (C)吸收震動 (D)不怕小雨。
47. 依職業安全衛生法規定,事業單位勞動場所發生死亡職業災害時,雇主應於多少小時內通報勞動檢查機構? (A)24 (B)8(C)48 (D)12。
48. 依職業安全衛生設施規則規定,下列何者非屬危險物? (A)易燃液體 (B)可燃性氣體 (C)致癌物 (D)爆炸性物質。
49. 設度盤最小格為 20',游標共刻有 40 格,則其最小讀數為 (A)30" (B)60" (C)40" (D)20"。
50. 測量成果與真值之間的差異程度,稱之為 (A)符合度 (B)精確度 (C)精密度 (D)密合度。
51. 一般自動水準儀之精度依據下列何者來區分? (A)望遠鏡的放大倍率 (B)望遠鏡的目鏡大小 (C)望遠鏡的長短 (D)望遠鏡的十字絲。
52. 測量製圖時,由於地球表面與大地水準面均非規則面,所以平面製圖時以橢球面做為投影基準。距離量測時,水平距離亦須化算到橢球面。此一化算在平面測量中通常以近似方式進行,稱為「海平面歸化改正」。若以全測站經緯儀量測 A、B 點間平距,得其距離為 1,536.951m;兩點高程均為 1,000m,設地球半徑為 6,370 公里,其「海平面歸化改正」量為何? (A)+0.241m (B)-0.241m (C)+0.024m (D)-0.024m。
53. 一般 1/1000 地形圖上首曲線的等高距為 (A)1m (B)20m (C)10m (D)5m。
54. 有關調整微傾水準儀之水準器的敘述,下列何者正確? (A)先調整傾斜螺旋使圓盒水準器水平,再調整腳螺旋使管狀水準器水平 (B)先調整腳螺旋使管狀水準器水平,再調整傾斜螺旋使圓盒水準器水平 (C)先調整腳螺旋使圓盒水準器水平, 再調整傾斜螺旋使管狀水準器水平 (D)先調整傾斜螺旋使管狀水準器水平,再調整腳螺旋使圓盒水準器水平。
55. 如果水龍頭流量過大,下列何種處理方式是錯誤的? (A)直接換裝沒有省水標章的水龍頭 (B)直接調整水龍頭到適當水量(C)加裝可自動關閉水龍頭的自動感應器 (D)加裝節水墊片或起波器。
56. 測線與磁子午線所夾的銳角稱為 (A)真方位角 (B)真方向角 (C)磁方向角 (D)磁方位角。
57. 水中生化需氧量(BOD)愈高,其所代表的意義為下列何者? (A)分解污染物時不需消耗太多氧 (B)水為硬水 (C)有機污染物多 (D)水質偏酸。
58. 冷氣外洩會造成能源之浪費,下列的入門設施與管理何者最耗能? (A)自動門有氣簾 (B)自動門無氣簾 (C)全開式無氣簾(D)全開式有氣簾。
59. 以鋼卷尺量距時,有六項改正,須視所要求之精度採用。包含尺長改正、溫度改正、拉力改正、垂曲(懸垂)改正、傾斜 改正、海平面歸化改正。通常哪兩項影響量最大,在一般距離量測均須改正? (A)傾斜改正、海平面歸化改正 (B)尺長改正、海平面歸化改正 (C)尺長改正、拉力改正 (D)尺長改正、傾斜改正。
60. 用以標定中心線位置最方便又準確之儀器為 (A)測距儀 (B)水準儀 (C)直角稜鏡 (D)經緯儀。
61. 下列有關等高線特性之敘述,何者為錯誤? (A)等高線間隔愈密,地面坡度愈大 (B)等傾斜面的等高線相互平行 (C)等高線間隔與地面坡度成正比 (D)等傾斜面的等高線間隔相等。
62. 水準測量之標尺墊,其功用為使標尺能 (A)不左右偏移 (B)位置及高度固定 (C)易變換位置 (D)不前後傾斜。
63. 水準儀之所以能向任意水平方向照準,因其望遠鏡能依 (A)視準軸 (B)直立軸 (C)水平軸 (D)水準軸 任意旋轉。
64. 某水準環線包含等距離之 A、B、C 三點,已知 A 點高程 HA=31.234m。進行逐差水準測量後得各測段往返測平均高程差分別為 △HAB=2.345m、 △HBC=3.468m、 △HCA=-5.801m,則改正後 B 點高程HB等於 (A)33.576m (B)33.574m (C)33.573m (D)33.575m。
65. 在 A 點整置經緯儀觀測水平角,依次照準 B、C、D 點,其度盤讀數分別為:0°0'10"、15°21'03"、51°17'20",則∠CAD 之水平角為 (A)15°20'53" (B)51°17'10" (C)66°38'23" (D)35°56'17"。
66. 使用 GPS 衛星測量時,所得到原始單點定位成果是在那一個坐標系統之成果? (A)WGS97 (B)WGS84 (C)TWD67(D)TWD97。
67. 利用 GPS 衛星定位測量,欲得到三度空間位置,至少需接收幾個衛星 (A)三個 (B)二個 (C)四個 (D)五個。
68. 通常經緯儀之主軸有 (A)三 (B)二 (C)四 (D)一 個。
69. 測量作業中需要造標者為下列何種測量? (A)地形測量 (B)水準測量 (C)三角測量 (D)等高線測量。
70. 在平坦地區用經緯儀作視距測量,望遠鏡視線水平讀得標尺夾距為 1.12 公尺,則儀器與標尺間之距離為 (A)11 公尺(B)11.2 公尺 (C)112 公尺 (D)110 公尺。
71. 下列何者不合理? (A)不論儀器誤差種類及大小,一律須送儀器廠校正 (B)以經緯儀為例,儀器校正項目較多,如果校正量較大時,通常需重複循環校正 (C)依照使用手冊之指示校正儀器 (D)儀器誤差較小,且能以適當方法予以消除時,可以 不要校正。
72. 水平角觀測最基本的角度測法為 (A)方向組法 (B)右測角法 (C)單角法 (D)偏角法。
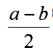
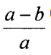
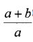
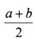
73. 地球參考橢球體之長軸半徑為 a,短軸半徑為 b,則扁率為 (A)(B)(C)(D) 。
74. 使用水準儀測量高程差,稱為 (A)直接高程測量 (B)三角高程測量 (C)氣壓高程測量 (D)間接高程測量。
75. 經緯儀誤差來源中下列何者非自然誤差? (A)大氣折光差 (B)大氣熱輻射 (C)照準誤差 (D)觀測環境。
76. 以下何者是消除職業病發生率之源頭管理對策? (A)健康檢查 (B)多運動 (C)改善作業環境 (D)使用個人防護具。
77. 今有一圓周,半徑為 15m,其周長中誤差為±0.10m,則面積中誤差為 (A)2.5m2 (B)2.0m2 (C)5.0m2 (D)1.5m2。
78. 攜帶水準尺行進,在叉路口轉彎時,為避免撞及他人,宜將水準尺保持 (A)隨意持尺 (B)尺身朝前(縱向)扛在肩上 (C)垂直持尺 (D)尺身橫向扛在肩上。
79. 我國現時土地測量所採用之長度單位為 (A)台尺 (B)英尺 (C)公尺 (D)市尺。
80. 在導線點觀測水平角時,測讀一測線之延長線與次一測線之夾角稱為 (A)方位角 (B)外角 (C)偏角 (D)內角。