所屬科目:高考三級◆空間資訊理論及實務(包括航空測量與遙感探測、地圖學及地理資訊系統)
一、試說明二維向量式地理資訊系統中常用之三種空間圖徵物件、其間之位相關係(Topological Relationship)類別與其資料儲存方式。(25 分)
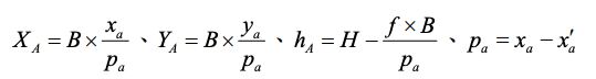
二、下列視差公式(Parallax Equations)應用於計算立體像對共軛像點(左像 a、右像 a )對應地物點 A 的三維 物空間坐標 (X A , YA , hA ),式中 f 為航空相機之焦距、B 為立體像對間之空 中基線(Air Base) 、H 為航空載具距基準面之航高、 (xa , ya ) 與 (x'a , y'a ) 分 別為左像及右像共軛像點之像片坐標,試繪圖重現這些參數之幾何關係 並說明應用此等公式須符合那些假設前提。 (25 分)
三、試述地圖投影(Map Projection)之目的並繪簡圖說明依圖紙形式差異如 何分類。(25 分)
四、試說明應用電磁輻射遙測系統於地球資源監測管理時選用實際遙測感 測器(Sensor)需考慮之特性與因素。(25 分)