所屬科目:機械設計
一、對基本直徑(d, D)尺寸為 34 mm 的軸及孔進行滑動配合(sliding fit) 設計,配合等級符號為 H7/g6,其中 d 及 D 分別為軸與孔的直徑。參考 下列表 1 及表 2,試決定滿足上述配合條件下該軸與孔分別的最大及最 小極限尺寸。(25 分)
二、一 根 長 度 L 66 mm 及 直 徑 d 30 mm 的 實 心 圓 棒 , 其 彈 性 模 數 E 200 GPa 。若該圓棒受到軸向拉伸負載 P 40 kN 的作用,在滿足虎 克定律的假設下,試求該圓棒的軸向應力、應變及長度變形量。若已知 該圓棒的降伏強度 S y 240 MPa ,求其基於拉伸失效的安全因素。 (25 分)
三、一旋轉軸需要使用內環旋轉之 03 系列圓柱滾子軸承(cylindrical roller bearing)來支撐,該軸承要求的設計壽命是在可靠度 90%、轉速 500 rpm 下受到 10 kN 的徑向負荷作用時達到 40,000 小時。假設製造商型錄軸承 之額定壽命為 106 迴轉數,試求用來查軸承規格的型錄額定負荷值 C10, 並根據計算結果在表 3 中選擇一個最適當的軸承。(25 分)
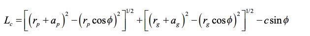
四、一對模數 m = 4 mm 及壓力角 φ = 20° 的漸開線正齒輪組,小齒輪齒數 16 齒,大齒輪齒數 64 齒。齒輪接觸比的公式為 mc = Lc /pb ,其中 pb 為基 節, Lc 為兩齒輪的接觸長度。 Lc 的計算公式如下:
其中 r 為節圓半徑,a 為齒冠高,c 為齒輪組中心距;下標 p 和 g 分別表 示小齒輪及大齒輪。求該齒輪組的接觸比 mc ,且說明接觸比的意義及其 對齒輪運轉的影響。 (25 分)