所屬科目:電子學
一、圖一放大器 VCC = +5.5 V,電晶體β = 24,ro → ∞,電晶體熱電壓(thermal voltage)VT = 24 mV,Rs = 2 kΩ,RB = 25 kΩ,RC = 1.2 kΩ,RE = 1 kΩ,RL = 6 kΩ。求算偏壓電流 ICQ 以及小訊號電壓增益 Av = vo/vs。(20 分)
二、積體電路(IC)放大器含三級放大器如圖二,圓圈內數字為接腳編號。電壓增益 A1 = –10 V/V,A2 = –999 V/V,A3 = +1 V/V,Rin = 1 MΩ,Zo1 = Ro1//Co1,Zo2 = Ro2//Co2,Ri2 = 4Ro1 = 100 kΩ,Ri3 = 4Ro2 = 10 kΩ,Ro3 = RL= 1kΩ,Co1= 5Co2= 5 pF。以最小值之外接電容 C,設計Av = vo/vin 頻率響應之高頻 3dB 極點落於 ωp = 105rad/sec。求算低頻之電壓增益 Av = vo/vin。電容 C 應接於何處?說明其理由,並求算該電容之值。(20 分)
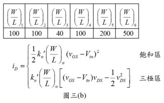
三、圖三(a) MOSFET kn' = 2.5kp' = 250 μA/V2,Vtn = –Vtp = 0.5 V,各晶體之(W/L)值以及 NMOS 電流 iD 公式如圖三(b)。VDD = VSS = 2.5 V,vS 為小訊號輸入。當 vS = 0,求算 iD1、iD5,與 Q5、Q6 閘極之電位差 VGG = VG5 – VG6。當 vS> 0且 iL = 9 mA,此電流全由 Q5供應,所對應 vO 之上限值為何?(20 分)
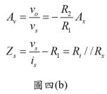
四、運算放大器(OPAmp)之輸出電阻 Ro= 0,開路增益 A,輸入電阻 Ri,並以此 OPAmp 設計回授放大器如圖四(a),其閉迴路增益 Av 與輸入電阻Zs(不含 R1)之定義如圖四(b)。此放大器之回授為正或負?推導圖四(b)中 Ax 與 Rx 之數學式,兩者均為A 與 Ri 的函數。(20 分)
五、圖五(a)與圖五(b)之數位輸入分別為 A 、 B 與 X 、 Y,兩電路之輸出Q 與。請建立 A、B 與 Q 關係之真值表。請建立 X、Y 與 Q 關係之真值表。兩電路的操作功能類似 SR 閂鎖(SR latch),S = set(設定),R = reset(重置)。選定圖五(a)、(b)兩電路的輸出 Q 與 SR latch 的輸出 Q 完全相同,則 A、B、X、Y 各與 S、R 的關係為何?(20 分)