所屬科目:電工原理
1. 從自由電子的定義中,下列何者較為正確? (A) 是原子最外層軌道上的電子 (B) 是價電子的另一種名稱 (C) 已經脫離原子軌道的電子 (D) 原子核內部的電子
2. 下列何種材料不適合當作半導體材料? (A) 銅 (B) 矽 (C) 鍺 (D) 砷化鎵
3. 小新買到一顆標示 的電容器,可簡寫為? (A) 100pF (B) 100nF (C) 1mF (D) 0.01nF
4. 在電學中,電功率的單位為? (A) 庫侖 (B) 焦耳 (C) 伏特 (D) 瓦特
5. 如圖 5 所示,試求 等於多少伏特?
(A) - 3V (B) 3V (C) - 7V (D) 7V
6. 有一根導線, 5 秒流過 60 庫侖的電量,則其電流為多少安培? (A) 1 (B) 12 (C) 60 (D) 300
7. 小王使用 1000W 燈泡,連續使用 6 小時,若每度電為 2.5 元,則需要付 費多少元? (A) 5 (B) 10 (C) 15 (D) 20
8. 老師上電工實習課時每人發一顆色碼電阻,其顏色依序為「藍灰金銀」, 則其值應為多少? (A) 0.68Ω ±10% (B) 6.8Ω±10% (C) 0.79Ω ±10% (D) 7.9Ω±10%
9. 小華買了有一顆標示 10W、110V 的電燈泡,將該燈泡接於 440V 電源 時,此時電燈泡將? (A) 消耗 10W 電力 (B) 消耗 20W 電力 (C) 消耗 400W 電力 (D) 不會消耗電力
10. 當溫度升高時,絕緣體的電阻值將會如何? (A) 減少 (B) 增大 (C) 不變 (D) 高低不穩定
11. 若有二個電阻分別串聯,串聯後之總電阻為 ,則 R1、R2 及 三者之關係式為何? (A) (B)(C) (D)
12. 如圖 12 所示,圖中 3 兩端之電壓為多少?
(A) 18V (B) 12V (C) 6V (D) 2V
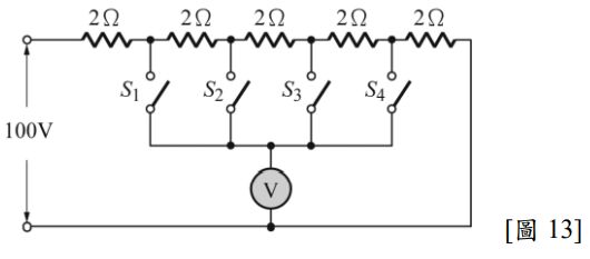
13. 如圖 13 所示電路,請問哪一個開關閉合時伏特計指示為 60V ?
(A) S1 (B) S2 (C) S3 (D) S4
14. 如圖 14 所示電路中,各為多少?
(A) 5A、8Ω (B) 5A、5Ω (C) 8A、8Ω (D) 8A、5Ω
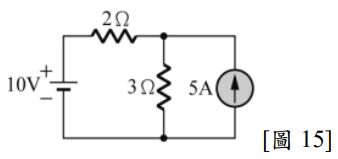
15. 如圖 15 所示, 3Ω 電阻的功率為多少瓦特?
(A) 240W (B) 48W (C) 12W (D) 4W
16. 如圖 16 所示之等效電路中,欲轉換成諾頓等效電路,其中 之值為多少?
(A) 4A (B) − 4A (C) 6A (D) − 6A
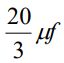
17. 小新在收音機的電路圖中看見一顆陶瓷電容器,電容器上標示 "104" ,則 其電容量應為多少? (A)(B)(C) (D)
18. 如圖 18 所示, 的值為?
(A) (B)(C)(D)
19. 電場強度 E 與電通密度 D 之關係為何? (A) (B) D = ε E (C) (D) D = 4πεE
20. 下列有關磁力線之敘述,何者有誤? (A) 磁力線為封閉曲線 (B) 磁力線恆不相交 (C) 磁鐵內部磁力線係由 N 極至 S 極 (D) 磁力線本身具有緊縮的特性
21. 導磁係數,在 MKS 制中 μ0 等於? (A) (B) (C) (D)
22. 鐵磁性材料的相對導磁係數 (A) 遠大於 1 (B) 遠小於 1 (C) 略小於 1 (D) 等於 1
23. 有一電阻為 1KΩ 和兩個電容器串聯,其值分別為 10μf 、15μf ,試求其 電路時間常數為多少? (A) 25ms (B) 15ms (C) 10ms (D) 6ms
24. RC 充電電路中,時間常數是指在一個 RC 秒時,電容器兩端電壓升高至 電源電壓的多少%? (A) 36.8 (B) 63.2 (C) 86.5 (D) 100
25. 若 RC 串聯充電電路在充電過程中,關於充電電流的敘述下列何者正確? (A) 其值愈來愈小 (B) 其值愈來愈大 (C) 其值忽大忽小 (D) 為一定值
26. 如圖 26 所示為 RC 充電電路,試選出何者為其充電電流的曲線?
(A) (B) (C) (D)
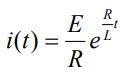
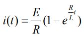
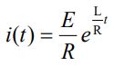
27. RL 串聯充電暫態電路中,充電電流 i(t) 的暫態值為何? (A) (B)(C)(D)
28. 交流電產生過程中,導體運動方向和磁極夾角的變化會決定其電壓值的不 同,試問其變化循著哪一個三角函數變化? (A) sin (B) cos (C) tan (D) cot
29. 下列何者不是使用高壓輸電的優點? (A) 減少電壓降 (B) 減少供電危險 (C) 減少線路損失 (D) 節省施工成本
30. 有關直流電的敘述,下列哪一項是正確的? (A) 電壓升降容易 (B) 開關控制設備簡單 (C) 常有電感及電容效應 (D) 沒有集膚效應
31. 台灣電力公司所供應之 110V、60HZ 家庭用電,以下何者最可能是其瞬時 電壓表示式? (A) 110sin(60t) (B) 110sin(60πt) (C) 110 2 sin(60πt) (D) 110 2 sin(120πt)
32. 有一交流正弦波,以三用電表量得電壓為 110V ,則其有效值 Vrms 為? (A) 110V (B) 110 2V (C) V 2 110 (D) V 110 2
33. 有 6 極交流發電機,當發電頻率為 60Hz ,則其轉速為多少 rpm ? (A) 120 (B) 150 (C) 1200 (D) 1800
34. 有一電壓方程式: =200sin(314t+ 600 ) ,則下列敘述何者錯誤? (A) 最大值 = 200V (B) 相角為 600 (C) 角頻率 ω = 314rad/sec (D) 週期 T = 50Hz
35. 假設= (314t-300)、=5sin(314t+600),則電壓 v 與 電流 i 之相位關係為何? (A) i 落後 0 v30 (B) i 超前 0 v30 (C) i 和 v 同相 (D) 無法比較
36. 試將極座標 6∠− 600 轉換為直角座標,其值為? (A) 3 + j3 √3 (B) 3− j3 √3 (C) − 3 + j3 √3 (D) − 3− j3 √3
37. 有一直角坐標其值為 6 + j8 ,若將其轉換為極座標則為? (A) 10∠530 (B) 10∠- 530 (C) 10∠370(D) 10∠- 370
38. 有一交流電路,電路中有一 6Ω 電阻,當流經該電阻的電流為 5 ∠30 0A , 試求電源電壓 V 為多少? (A) 30 √2 ∠300 V (B) (C) 30 ∠300V (D) 30∠00V
39. 在一純電阻交流電路中,若電源頻率增加時,其阻抗值為? (A) 增加 (B) 減少 (C) 維持不變 (D) 不一定
40. 在一純電感交流電路中,若電源頻率增加一倍時,其阻抗值為? (A) 增加一倍 (B) 減少一倍 (C) 維持不變 (D) 增加四倍
41. 在一純電容交流電路中,電源電壓和電流的相位關係為? (A)同相 (B)(C) (D)
42. 有一 RL 串聯電路,其線路電壓的相位關係為何? (A) (B) (C) 兩者同相 (D) 無法判定
43. 在交流電路中,會消耗實功率之元件為下列何者? (A) 電感 (B) 電阻 (C) 電容 (D) 電感與電容
44. 若在元件兩端的電壓為 10sin10tV ,流過該元件的電流為 10cos10tA , 則關於該元件特性的描述,下列何者正確? (A)電壓超前電流 450 (B)電壓落後電流 450 (C)平均消耗功率為 0W (D)阻抗與交流頻率成正比
45. 如圖 45 所示一交流電路,則電阻消耗多少虛功率?
(A) 500VAR (B) 100VAR (C) 50VAR (D) 0VAR
46. 一交流電路電源電壓為 100V ,當供應 20A 電流時, 則此電源供應之視 在功率 (S) 為多少 VA ? (A) 2000VA (B) 200VA (C) 20VA (D) 2VA
47. 某單相交流電路,已知其有效功率為 240W ,視在功率為 400VA ,則其 無效功率為多少 VAR ? (A) 160VAR (B) 240VAR (C) 320VAR (D) 640VAR
48. 某一交流電路,求得實功率為 16KW ,虛功率為 12KVAR ,則其功率因 數 cos 為多少? (A) B 0.6 (B) 0.75 (C) 0.8 (D) 0.9
49. 將單相三線式和單相二線式作一比較,下列何者不是使用單相三線式供 電的優點? (A) 提供兩種電壓 (B) 供電電壓較低 (C) 線路電流較小 (D) 線路損耗較小
50. 在相同的負載功率及距離條件下,單相二線制 的線路電壓降為單相三線制的多少倍? (A) (B) (C) 1 倍 (D) 2 倍