阿摩線上測驗 登入

試題詳解

試卷:113年 - 113 臺灣菸酒股份有限公司_從業職員及從業評價職位人員甄試試題_從業評價職位人員/電氣:電工原理#137285 | 科目:電工原理

試卷資訊

試卷名稱:113年 - 113 臺灣菸酒股份有限公司_從業職員及從業評價職位人員甄試試題_從業評價職位人員/電氣:電工原理#137285

年份:113年

科目:電工原理

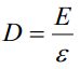
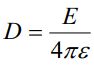
19. 電場強度 E 與電通密度 D 之關係為何?
(A)
(B) D = ε E
(C)
(D) D = 4πεE

正確答案:登入後查看